Introduction
Maybe first Fundamentals Science which wear quality
Eternal Fundamental Science Absolute Truth Values
- EFSATV
and for sure are also Science Fundaments as will see.
USA AEPDF started around of 1977-78 from a Quantum Problem - Fields Space Dependency - which now can be
translate as
Quantum Symmetry Or - And Asymmetry
As then I made a calculus error, woek for restarted in USA
in 2015 , and was a complete succes, like , God wish as this worl to be an USA Science And Culture Victory.
On Internet debuted also in 2015 as important discovery,
Math Millennium Equations
know also as :
Mathematics Millennium Equations
Integers Powers Fundamental Equations
named maybe in 2016, because of its importance for Science and of the fact was unknown until 2015
USA Murgu The Lost Fundamental
THE LOST Fundamental
But all debut maybe at the end of 2015 or begining of
2016 on Google-Youtube as
America Earth Proud Day Fundamentals
and soon also on lifeclimatic.DOTCOM (I lost in time this site) as
Infinity Divergent Conjecture
InfinityDivergentConjecture.pdf
Infinity Divergent Conjecture idea, maybe a good idea to follow , but I give up as have enough work to make yet
for AEPDF.
For My point of view - Quantum problem was solved - but will wear a complete solution maybe in 300 years.
Thanks , to My familly wich supported My dizzy state as for more than 40 years My logical sate was Disorder , as My first
unsucces in until 2015.
Forgive My Honesty leak as I consider AEPDF
New Logical Science Alphabet Base
and have all rights to be considered
Galactic Science Absolute Tops
Earth Galactic Science Contribution
USA Galactic Science Contribution
For Sure USA2015AEPDF , AEPDF will be an
Humanity Science And Culture Basic.
Started from Physics and brought for a Science Fiction Theme - until prov contrary - INERTON , which debuted
also on Google Youtube (as USA2015AEPDF tried to keep Google and Google Yotube priority for ), as
Ion_Murgu_CUTAndPT_345Resonator
USA AEPDF
America Earth Proud Day Fundamentals AND
Results UNDER USA Intellectual Property
1. Integers Powers Fundamental Equations, now The Lost Fundamental.
USA Murgu The Lost Fundamental
2. The Lost Fundamental Operator.
God Equations Of Balance
3. God Equations Of Balance.
Murgu The Lost Fundamental Operator.
4. Double False Redundancy Of Truth.
Murgu Double False Redundancy Of Truth.
5. Fermat Murgu Impossible Equations , Fermat's Last Theorem Unique Solution.
Fermat Murgu Impossible Equations .
6. Euler - Murgu Equations 1 Equal 1.
Euler - Murgu Equations 1 Equal 1
7. Fermat's Last Theorem Geometric Solution.
Fermat's Last Theorem Geometric Solution
8. Pythagoras Theorem as Fermat's Last Theorem Blessed Except.
Pythagoras Theorem as Fermat's Last Theorem Blessed Except
9. Murgu Quadruplets.
USA Murgu Quadruplets
10. Fermat Equations as Irrational Integrators fulfill Real Numbers Math Space.
Fermat Equations as Irrational Integrators
11. Murgu Series Identities.
Murgu Series Identities
12. Ion Murgu Circles Paradox, a beauty Of Paradoxes.
Even if been obtained from work to AEPDF, those will be treated separated in proper material.
13. Murgu Integers Cubic Dispersion Formula. Important in Analytic.
Murgu Integers Cubic Dispersion Formula
PART I
Part II will contain
14. Murgu Infinity In One, Murgu Series Identities as Irrational Field Descriptors Integrate Irrationals.
15. Fermat - Murgu Theorem as future Mathematics Millennium Problem.
16. Murgu Powers Functional Identities including God Ecuations Of Balance.
17. 2 2015 USA AEPDF or "Amaerica Earth Proud Day Fundamentals" as Fundamental Science
Base(Science Fundamental Base).
18. Ion Murgu Circles Pradox.
19. Inerton. An AEPDF Science Fiction Theory Until Prov Contrary.
Murgu The Lost Fundamental
Unknow Until 2015
Eternal Best Galactic Science Knowledge Labyrinth Extraction
Natural Placed Itself at The Base Of Science Base
and for sure will get rights of
Operator in High Level Science
The Lost Fundamental Operator
Murgu - THE LOST FUNDAMENTAL
Started from Analytic study of Powers to Discover any hide Properties of Powers, which return real importance
for all Science as Multiply, Divisions and then Powers stand at base of Math Science and even Science.
Result was published on Internet , first as
Math Millennium Equations
then soon as
Mathematics Millennium Equations
and after any time as becomes aware about real importance
Integers Powers Fundamental Equations.
But those equations are fundamentals which placed
themself at the base of Fundamental Science, then can be named
THE LOST FUNDAMENTAL .
and with you accept and to strong Humanity Human Legacy(at the last as
Intelligence)
Murgu - THE LOST FUNDAMENTAL .
or as Math Beauty
Infinity in One
How Important are?
Near of Instantly,
using adequate Math Method, Fermat Murgu Impossible Equations , SENT
Fermat's Last Theorem - FUNDAMENTAL
lightening near of 400 years of research for - Fermat's Last Theorem and with tools
resulted from and your accepted brougth
Murgu - Fermat's Last Theorem Addition.
THE LOST FUNDAMENTAL
| Tn | (T+1)n | (T+2)n | (T+n-1)n | (T+n)n | ||||
| (T+1)n-Tn | (T+2)n-(T+1)n | (T+3)n-(T+2)n | (T+n)n-(T+n-1)n | |||||
| dif. of superior terms | dif. of superior terms | dif. of superior terms | ||||||
| dif. of superior terms | dif. of superior terms | |||||||
| n! |
Working Table Schema.
This was starting ideea, and n! was introduced now ,
as know the result.
Then I made any errors in calculus, but I return in 2015 and recalcul
for powers 3,4,5,6. Down will be any examples.
| 16 | 81 | 256 | 625 | 1296 | ||||
| 65 | 175 | 369 | 671 | |||||
| 110 | 194 | 302 | ||||||
| 84 | 108 | |||||||
| 24 |
24 is also 4!
Power 4 Example.
| 3125 | 7776 | 16807 | 32768 | 59049 | 100000 | ||||||||||
| 4651 | 9031 | 15961 | 26281 | 40951 | |||||||||||
| 4380 | 6930 | 10320 | 14670 | ||||||||||||
| 2550 | 3390 | 4350 | |||||||||||||
| 840 | 960 | ||||||||||||||
| 120 | |||||||||||||||
Power 5 Example.
120 is also 5!.
What been waiting for, is proved, as remark I did it for n=2, n=3, n=4, n=5, n=6 and n=7, then not a motivation to exclude general case, and late on I make a software
which proved it for n between 1 and 50.
Now is the time to remark
Murgu - The Lost Fundamental is IMPORTANT FOR SCIENCE
for Powers 2, 3 and maybe 4 and maybe
into the future Power 5 also. This isn't for calcul powers. But Math will can use it in polinomials
for superior powers also.
This started from Physics and get important isues for. The Time will
prov it.
For Mathematics proofs are only provocations for extracting any formulas. Then, I made
second STEP, to get The Formula, and for it I keept the powers from first row as functions
of I and n. We will do it for n=4 and 3(I did also for 5).
For general case is
heavy to make a table schema, as there will appear Coeficints which depend of n as power but also
by position in formula.
But, for every Power n is a Mathematic Symmetry which make it easy to get every coeficient.
I make a Software ( a PERL program to get coefints for any power n, and one to proof
future Formula for powers 2 to 50).
The Lost Fundamental Formula have importance for Science for Powers 2, 3 and maybe 4, but never know
if into future will not evolve to 5,6 and 7. Then , returned to above tables using powers as
expresions.
Murgu The Lost Fundamental OPERATOR
brought 2 Fundamentals Science, but
also 12 Science Base Fundaments.
Murgu The Lost Fundamental OPERATOR can be used near of everywhere, but with care and responsibility.
We noted it with Greek Letter
𝔖
and if will be contested will chose another.
It is Expresion an a truth
𝔖(X)n = n!
demonstrated in proof Perl Program for power 2 to 50.
Murgu The Lost Fundamental OPERATOR can used in all Real Field with care .
About care I will offer an example from Murgu Quadruplets
Z3 - X3 = Y3 + W3 MQ.5.
Z3 + W3 = X3 + Y3 MQ.6.
In (MQ.5.), at first glance you get 0 = 12 and it becuse left and right sides are pure Integers
and not powers 3 numbers.
Anyway can be used with success in polinomials by extracting any variables
from correct identities like
𝔖(x)n = n!
and then replace it into equation.
Will not solve but may help and as ESSENCE
we have equations expressed in multiple forms
In this material, Murgu The Lost Fundamental OPERATOR, will be used a lot and for Fermat's Last
Theorem 2 times, one direct
𝔖(Xn) + 𝔖(Yn) - 𝔖(Zn) = n!
and second via FMIE multiple times to symmetric neighbors of supposed solutions (X,Y,Z).
as will see soon.
As example
𝔖((X-1)n) + 𝔖((Y-1)n) - 𝔖((Z-1)n) = n!
Operation And Method wich Sent and make
Fermat's Last Theorem Fundamental
For turn Back to Intro Click here
God Equations Of Balance.
Include Murgu The Lost Fundamental as obtained from.
God Equations Of Balance
are part of USA 2015 AEPDF and are extracted from - Murgu Infinity In One - than are,
Infinity To Infinity
The name was a Reply to Imagination Beauty
Euler God Equation
Used with care as tools bring miracle for Equations and polinomials.
A equation of powers variables can wear now also new forms.
For turn Back to Intro Click here
Murgu Double False Redundancy Of Truth.
Murgu Double False Redundancy Of Truth institute Logic Logical check , review and control.
Murgu Double False Redundancy Of Truth can be a big impact not only for Mathematic and Logic but
for all Science.
Translated in a simple mode mean Any Equations In Physics, gen
(y=ax)n or more complex may have possible form (iy=iax). That mean Math Relativity. We can't, yet,
make a case for, right now, but a remark for future.
We will make Analyze for starting with Fermat's Last Theorem , then Fermat's Equations.
If Fermat's Last Theorem Equations have a solution into Integers
Xn + Yn - Zn = 0
(X,Y,Z) Integers Solution, Then Infinity (iX,iY,iZ)
Xn + Yn - Zn = 0
0, important then W Integers because
around of Zero play any Conservations Laws, then let us to remark ,
Xn + Yn - Zn = W
can have multiple solutions into Integers
(X,Y,Z,W)Integers. To return to
Xn + Yn - Zn = 0
1 Solution In Integers then Infinity
in(Xn + Yn - Zn) = 0
not simplify and
then (iX,iY,iZ) Solutions.
It make an absolute rights to write
Murgu Double False Redundancy Of Truth Analytic Equations
Xn + Yn - Zn = 0 mdfr1
(i(Xn) + i(Yn) - i(Zn) = 0 ) mdfr2
(iX)n + (iY)n - (iZ)n = 0 mdfr3
but also
(1/i(Xn) + 1/i(Yn) - 1/i(Zn) = 0 ) mdfr4
(X/i)n + (Y/i)n - (Z/i)n = 0 mdfr5
Absurd or not , need to include mdfr1 as Integers possible solution and to remind
X2 + Y2 - Z2 = 0
are Fermat's Last Theorem Except.
Then if mdfr1 have a solution , Then Infinity, and mdfr2 come with Infinity Irrational Solutions.
mdfr4 mean in the same , every n-times multyply with any Integers brought a new Solutions including
Xn(Xn + Yn - Zn) = 0 mdfr6
Yn(Xn + Yn - Zn) = 0 mdfr7
Zn(Xn + Yn - Zn) = 0 mdfr8
mdfr6, mdfr7 and mdfr8 maybe don't say much here , but are important for Fermat's Last Theorem
Unique Solution.
Part two of this Analytic is for Rationals and Integers as any times may can fall in and bring
Euler Murgu Equations 1 Equal 1
for i equal
1/(Zn)
(X/Z)n + (Y/Z)n - 1 = 0 EME1E1
And we know EME1E1 CERTIFY Complet and accurate
Fermat's Last Theorem
Fermat's Last Theorem Unique Solution and Euler Murgu Equations 1 Equal 1 after it as imply
a bit Double False Redundancy Of Truth.
As can see from both sides we started from absurd supositins and let we demonstrated FASLE, Then Double False ,
And Redundant folowin i those express a Truth - mean -
For turn Back to Intro Click here
Fermat's Last Theorem Unique Solution
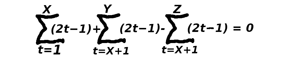
Fermat Murgu Impossible Equations Method.
If Apply to Fermat's Last Theorem Equations MTLF Direct
𝔖Xn + 𝔖Yn - 𝔖Zn = n!
Function of which operator form apply we will get first or last component
{Xn + Yn - Zn = 0}
which for 3 components(X,Y,Z) implied, is impossible, but weird to demonstrate.
For a Component, can have a Term 0, but for 3 not but a clear demonstration is hard.
𝔖Xn can have a term 0 but for 3 is like
a + b - c =0
which into integer is clear possible. For our case a,b and c are Integers of form
Tn , that intuitive is IMPOSSIBLE.
REPEAT, is there an unclerity, then I Chose another Logical Way
a Logical Analytic for symmetric neighbors of Supposed by Absurd
{Xn + Yn - Zn = 0}
Step 1:
{((X-1), (Y-1), (Z-1)); ((X-2), (Y-2), (Z-2)); ...} AND
{((X+1), (Y+1), (Z+1)); ((X+2), (Y+2), (Z+2)); ...} we will work only with
((X-1), (Y-1), (Z-1)); and ((X+1), (Y+1), (Z+1));
Step 2:
Apply adequate Operator (ascendend or descede)
𝔖(X-1)n + 𝔖(Y-1)n - 𝔖(Z-1) n = n!
𝔖(X+1)n + 𝔖(Y+1)n - 𝔖(Z+1) n = n!
Step 3:
for evryone , second component will be
n(Xn + Yn - Zn) = 0
Step 4 :
Logical Analytic for
n(Xn + Yn - Zn) = 0
passing of first impulse is
{(n√ n)X, (n√ n)Y, (n√ n)Z}
are also SOLUTIONS . and are IRRATIONALS .
This is already first sign of Impossible
Step 5:
If now apply for next symmetric (n-1) Neighbors into The Left and into The Right
Will get 2(n-1) new
KnI(Xn + Yn - Zn) = 0
for I between 2 and n. We started from a supposed
(Xn + Yn - Zn) = 0
NOW every conditional claim
Irrationals Solutions . This Is IMPOSSIBLE when supposed
(Xn + Yn - Zn) = 0
claim fix values into Integers for (X,Y,Z)
That Mean
n neighbors into the left and n into the right will have one term of Operator Zero.
For sure there can be more then one term 0.
To chose one
((X-1), (Y-1), (Z-1)); or ((X+1), (Y+1), (Z+1));
((X-1)= U, (Y-1)=V, (Z-1)=W); For Sure
(Un + Vn - Wn) = B Then
((U+1)n + (V+1)n - (W+1)n) = 0
Make one of them Impossible for powers n>2 . For Power 3 and even 4 we can show: Here for 3
U3+3U2+3U+1 + V3+3V2+3V+1 - W3-3W2-3W-1 =0
B+3U2+3U+3V2+3V-3W2-3W+1 =0
and in the same time for
((X+1)=T, (Y+1)=L, (Z+1)=F)
B-3T2+3T-3L2+3L+3F2-3F-1 =0
IMPOSSIBLE
Don't forgot we can Apply Murgu The Lost Fundamental Operator to groups (U,V,W) and (T,L,F)
making abstraction of B as know
𝔖Un + 𝔖Vn - 𝔖Wn = n! AND
𝔖Tn + 𝔖Ln - 𝔖Fn = n!
Then C n,I (Xn + Yn - Zn) = 0
inside those operators mean POSSIBLE only IN IRRATIONAL.
Down will follow any logical which lead to same results.
Double False Redundancy Of Truth bring more light on.
If a solution into Integers then Infinity
kn(Xn + Yn - Zn) = 0
(X,Y,Z) Integers Solution, Then Infinity (kX,kY,kZ)
For k#(l)n k(Xn + Yn - Zn) = 0
Solutions will be
Xn√ k , Yn√ k , Zn√ k
That mean , even need a heavy logic ,
Solution into Integers Come from Irrationals or Integers to Irrationals
Both alternative are Equivalents.
That mean IF
(Xn + Yn - Zn) = 0
Solution in Integers Then Multiple Images in
Irrationals
It make Euler Murgu Equations 1 Equal 1 an accurate and complete
Fermat's Last Theorem Certify
FMIE And Euler Murgu Equations 1 Equal 1
Make Fermat's Last Theorem
Second Science Fundamental
where for Physics Science Fundamental
mean Science Fundament.
FMIE send Solutions In Irrationals (Infinity) and stand for Impossible Solution into Integers and
Rationals.
DOWN is Demonstration
Murgu The Lost Fundamental Operator Solved
Fermat's Last Theorem
AND Make
Fermat's Last Theorem
SECOND Fundamental Science.
FMIE using Murgu The Lost Fundamental Operator Claim as
(Xn + Yn - Zn) = 0
to have a solution into Integers
((X,Y,Z)-Integers) then also
n(Xn + Yn - Zn) = 0
Xn√ k , Yn√ k , Zn√ k
This is also a refuse of (Xn + Yn - Zn) = 0 into Integers,
and if follow back Double False Redundancy Of Truth Infinity Refuses.
This is important even for Murgu The Lost Fundamental - into Integers for 3 components do not
accept 0 terms.
(Xn + Yn - Zn) = 0
Solution into Integer (see above),
bring Infinity Absurd Solutions into Integers, as :
XnXn+XnYn - XnZn
XnYn+YnYn - YnZn
XnZn+ZnYn - ZnZn
and all combinations possible from .
But also (see Double False Redundancy Of Truth),
(X/Z)n + (Y/Z)n - 1 = 0 EME1E1
COMPARED with
(X/Z)2 + (Y/Z)2 - 1 = 0 EME1E1 for P=2
which lead my in maybe 1993 , 94, 95 ,
or 96 to a geometric solution in which I make a connection to Geometric Media , from which will return
down. Now to use it to Explain FMIE once more time.
Murgu Identities Explain FMIE for Power 3.
FMIE via Murgu The Lost Fundamental Solved Fermat's Last Theorem
but for Science good will try to help FLT Proof also to EXTRACT all from NOW
SECOND Fundamental Science - Fermat's Last Theorem -
Via Fermat Murgu Quadruplets Table we get not only Zero not reach for Fermat Eq. ,
(X3 + Y3 - Z3) ≠ 0 in Integers an
Rationals
but also can have ;
(X3 + Y3 - Z3)
≠3 or 4 or 5 or 13 ...
That mean FLT Proof took a demonstration way ,heavy ,and
may be wrong as can demonstrate the path of elliptic.
(X/Z)2 + (Y/Z)2 - 1 = 0 EME1E1 AND
(X/Z)n + (Y/Z)n - 1 = 0 EME1E1
And work for Murgu Quadruplets lead My to Murgu Identities and Comparative Analytic for
Power 3.
Murgu Identities we used for Power 3 and 2 and are:
(X+i+1)3 - 2((X+i)3 ) + (X+i-1)3 = 6(X+i)
For i=0 will Be (X+1)3 - 2((X)3 ) + (X-1)3 = 6(X)
Murgu Integers Cubic Dispersion Formula and
(X+1)2 -2((X)2) + (X-1)2 =2
Murgu Algebraic Power 2 Geometric Media
If for
(X3 + Y3 - Z3) = 0
chose Y>X and Z>Y and Z>X wrote as
Y = X+a and Z=X +b a,b Integers b>a - can wrote
(X+a+1)3 - 2(Y3) + (X+a-1)3 = 6(X+a)
(X+b+1)3 - 2(Z3) + (X+b-1)3 = 6(X+b)
Then Fermat's Last Theorem for power 3 became
2(X3)+(X+a+1)3+(X+a-1)3-6(X+a)-(X+b+1)3
-(X+b-1)3+6(X+b)=0
Introducing 2(X3) from above
Indentities
(X+1)3 +(X-1)3-6X+(X+a+1)3+(X+a-1)3-6(X+a)-(X+b+1)3
-(X+b-1)3+6(X+b)=0
This mean Any for Analytic. First in a childish analyze , but maybe TRUE -
6(X+b-a)=0 or a-b=X b-a=X
AND
(X+1)3 +(X-1)3+(X+a+1)3+(X+a-1)3-(X+b+1)3
-(X+b-1)3=0
That Impossible, like I said in 1994 or 95 or 96 .But that mean ALSO
(X+1)3 +(X-1)3+(Y+1)3+(Y-1)3-(Z+1)3
-(Z-1)3=0
or returning
(X+1)3 +(X-1)3+(Y+1)3+(Y-1)3-(Z+1)3
-(Z-1)3= 6(X+b-a) EQ.1.1.0
Instead of a CONSTANT as to assure a Geometric Media.
For Powers 3 not longer a Geometric Media like for Power 2 may Be Possible.
(X+1)2 -2((X)2) + (X-1)2 =2
That mean Impossible
(X+1), (X-1) , and so for (Y+1), (Y-1) and (Z+1), (Z-1) are (X,Y,Z) neighbors we speak about.
Now, If Apply Murgu The Lost Fundamental Operator to those neighbors for power 3, and extract every one, will get:
(X+1)3 = 3(X3) - 3(X-1)3 + (X-2)3 + 6
(X-1)3 = 3(X3) - 3(X+1)3 + (X+2)3 + 6
Making theirs summ
4((X+1)3 + (X-1)3) = 6(3(X3)) + (X-2)3 + (X+2)3 + 12
(Y+1)3 = 3(Y3) - 3(Y-1)3 + (Y-2)3 + 6
(Y-1)3 = 3(Y3) - 3(Y+1)3 + (Y+2)3 + 6
Making theirs summ
4((Y+1)3 + (Y-1)3) = 6(3(Y3)) + (Y-2)3 + (Y+2)3 + 12
(Z+1)3 = 3(Z3) - 3(Z-1)3 + (Z-2)3 + 6
(Z-1)3 = 3(Z3) - 3(Z+1)3 + (Z+2)3 + 6
Making theirs summ
4((Z+1)3 + (Z-1)3) = 6(3(Z3)) + (Z-2)3 + (Z+2)3 + 12
Then, Left Side Term of EQ.1.1.0 may be write as
4[((X+1)3 +(X-1)3+(Y+1)3+(Y-1)3-(Z+1)3
-(Z-1)3)] =
6(3(X3)) + (X-2)3 + (X+2)3 + 12 + 6(3(Y3)) + (Y-2)3 + (Y+2)3 + 12 -
( 6(3(Z3)) + (Z-2)3 + (Z+2)3 + 12)
into Integers and absurd or not X3 + Y3 - Z3 = 0
4[((X+1)3 +(X-1)3+(Y+1)3+(Y-1)3-(Z+1)3
-(Z-1)3)] =
6( (X-2)3 + (X+2)3 + (Y-2)3 + (Y+2)3 - (Z-2)3 - (Z+2)3 + 12)
(I hope not a callculus error , if is is small) We Get 3 Conditionals as
X3 + Y3 - Z3 = 0 into Integers for power 3
(X+1)3 +(X-1)3+(Y+1)3+(Y-1)3-(Z+1)3
-(Z-1)3= 6(X+b-a) EQ.1.1.0
2[((X+1)3 +(X-1)3+(Y+1)3+(Y-1)3-(Z+1)3
-(Z-1)3)] =
3( (X-2)3 + (X+2)3 + (Y-2)3 + (Y+2)3 - (Z-2)3 - (Z+2)3 + 12) EQ.1.1.1
( (X-2)3 + (X+2)3 + (Y-2)3 + (Y+2)3 - (Z-2)3 - (Z+2)3 + 12) = 4(X+b-a) Eq.1.1.2
THEN:
(X+1)3 +(X-1)3+(Y+1)3+(Y-1)3-(Z+1)3
-(Z-1)3= 6(X+Z-Y) EQ.1.1.0
( (X-2)3 + (X+2)3 + (Y-2)3 + (Y+2)3 - (Z-2)3 - (Z+2)3 + 12) = 4(X+Z-Y) Eq.1.1.2
2[(X+1)3 +(X-1)3+(Y+1)3+(Y-1)3-(Z+1)3
-(Z-1)3] = 3[( (X-2)3 + (X+2)3 + (Y-2)3 + (Y+2)3 - (Z-2)3 - (Z+2)3 + 12)] EQ.1.1.3
IMPOSSIBLE
AND WE CAN VERIFFY.
TAKE THE CALCUL FOR THE BEGINING OF THIS div , MAYBE I MAKE ANY ... SMALL ANYWAY.
Forgot
X3 + Y3 - Z3 = 0
Now we need to get it by there.
The Start 2[6X+2(X)3 +6Y+2(Y)3 - ...] ...
will lead us to
X3 + Y3 - Z3 = F(X,Y,Z) complicate dependence of (X)2,
(Y)2, (Z)2 and (X,Y,Z)
Normal and Instead of F(X,Y,Z) = 0
We used a Time F(X,Y,Z) = 0 , then been waiting it as answer.
The Answer is IMPOSSIBLE.
Anyway, even not correct by now, but only for curiosity you can analyze it.
Maybe will meet Complex Solution
I Love Complex But Here is not the case.
X3 + Y3 - Z3 = 0 is, over all about, if Sum of 2 Numbers
with any property can be equal with another one which wear same porop.
But now can bring any importance for Analytic in Math
F(X,Y,Z) = I with I Integer
Fermat's Last Theorem Proof even atack this can't say any.
Fermat Murgu Quadruplets treat
F(X,Y,Z) = 1
and brought which
with your accept, I will Say
Murgu Quadruplets as New Math Beauty
Also can use there The Fact , Power 2 Linear Forms writin (Y=X+A) and (Z=X+B)
as Plaing Math , as for Our Problem The Answer is definitely IMPOSSIBLE.
This incursion was to extract any new from Fermat's Last Theorem
We SOLVED It for General case via FMIE.
This incursion was to extract any new from Fermat's Last Theorem
We SOLVED It for General case via FMIE.
Maybe I make any small errors but not of essence , and I don't re ceck as My intention
was only provocation for young Scientist to Luck back to Proof good part, and reopen.
You can see a function used in Proof and this time not including any Parameters.
We solved Fermat's Last Theorem via FMIE and also Euler Murgu Equations 1 Equal 1.
FMIE Sent Fermat's Last Theorem Solutions in Irrational
and Certify
Not Solutions in Integers and Rational.
FMIE and Euler Murgu Equations 1 Equal 1 but also
Murgu Fermat's Last Theorem GEOMETRIC
SOLUTION
PLACE Fermat's Last Theorem Solutions into concentric Circles with Radius
Zn
excluding as all 3 (X,Y,Z) to be Integers or Rationals for any Value Z Integer or Rational.
Fermat's Last Theorem
get all rights for
Second Fundamental In Science .
For turn Back to Intro Click here
Euler Murgu Equations 1 Equal 1
Certify Fermat's Last Theorem
Clear and as Accurate Mathematic Method and Solution
Notes:
We already Know 1, or 2 or 3 variables of Fermat's Last Theorem are Irrationals and then need
rearranged as Zn absolute value to be maxim one in equation ,
Ex: 23 + 33 = 35 - 35 is Zn.. but
33 - 23 = 19 ; 33 will be Zn
This in subunity will create a nice aspect: summ af a subunitary Irrational with a subunitary Rational equal 1.
For My this is a beauty which make to domains comunicative.
Now , if wrote (A + B = 1) as B = 1 - A then
[A + (1 - A)] = 1
This is Equation Of Truth because from Double False Redundancy Of Truth we know , if a Solution then Infinity
We brought it to a form what depend only by a subunitar Irrational and
{[A + (1 - A)] i= i } where i can be even A, {[A + (1 - A)] A = A }
Now function of power n , (n-1) multiplication will bring its form to a dependence An
To See and not forgot , not simplify AND (1 - A) represent B here
Power 2 - {[A2 + (A - A2)] = A }
Power 3 - {[A3 + (A2 - A3)] = A2 }
Power 4 - {[A4 + (A3 - A4)] = A3 }
Power 3 - {[A5 + (A4 - A5)] = A4 }
..........
Power n - {[An + (A(n-1) - An)] = A(n-1) }
For sure will say TO Easy , but not
This included years of work for and to assure correct logic.
But Euler Murgu Equations 1 Equal 1 not remark neither Pythagorean Triples. ???
That is the power of Euler Murgu Equations 1 Equal 1 , to show the motivation of rounding aroun 400
years.
Pythagorean Triples are coming from Irrationals.
Pythagorean Triples are Fermat's Last Theorem Blessed Exceptions.
Pythagora Theorem Fermat's Last Theorem Blessed Except.
Pythagorean Triples are coming from Irrationals and now we know are exceptions and in the rest
even Power 2 Pay Respect for Fermat's Last Theorem.
Power 2 - {[A2 + (A - A2)] = A }
can wear for exceptions form
{A(1- A) = A(1 - A)} -- AB=AB not every time mean simplify them. That say AB===BA
Asymmetry introduced by (1 -A) into Equation (A + (1 - A)) == 1 relative to Multiply and Simplify
came with a Mathematical Logic answer
Simplify any times mean loss of an LOGICAL TRUTH.
as , (4 + 9 =13) now included in Fermat's Last Theorem
NOT the same with (8 + 18 = 26)
when are included into Science Essence Logical debates.
For Powers>2
{[An + (A(n-1) - An)] = A(n-1) }
A(n-1)(1 - A) = A(n-1)(1 - A) (Not Simplify)
not AB = AB (which lead a bite to Geometric Media), but
are a subtle answers
For powers n>2 Fermat's Last Theorem Solutions can't eveolve from Irrationals to Rationals or Integers.
Euler Murgu Equations 1 Equal 1 Show its Math Beauty.
The above examlpe for power 2 may can be followed for every power.
But maybe the best method to understand it is a observation , (X/Z)n
and (Y/Z)n are subunitary. Then can write now Euler Murgu Equation 1 Equal 1 as
(1/A + (1 - 1/A) = 1)
an artificial method used only as logic provocation, multiply with A
(1 + (A -1) = A) get back our Equation, Multiply now with (1/A)
(1/A + (1 - 1/A) = 1).
This example show clear into Scientifics logical processes need an good handling
for Multiply and Simplify.
May be heavy, but in times can by relogic the effects.
For turn Back to Intro Click here
Fermat's Last Theorem Geometric Solution
Repeat FMIE and Euler Murgu Equations 1 Equal 1 solved Fermat's Last Theorem and
SENT IT AS Second Fundamental Science
but our interst is to extract as more can
for.
Than here we are luking for any new and will see any small errors you can repair.
We are luking for Conditionals Equations , which may be utils for future.
Geometric Fermat's Last Theorem Solution started in 1994 or 95 from a simple
observation and I can't say was complete then as not longer is on Internet but for sure I hit
the base as I remind were using Geometric Media.
The observation was simple and had a
correct base. As or if note:
Xn = A2 , Yn = B2 ,
Zn = C2
Can Wrote A2 + B2 - C2 = 0 ECF.2
As Logical corespondence into Pythagora Theorem , but I wasn't able then to demonstrate Pythagora Theorem is Fermat's Last
Theorem Except .
We already spoke a bit about it above, but to repeat : Pythagorean Triples Pay Respect for Geometric Media as only
and every Pythagorean Triple Group may need to confirm formula:
(A+1)2 + (A-1)2 + (B+1)2 + (B-1)2 - (C+1)2 - (C-1)2 = 2
Can Name It Pythagorean Triples Rule and come from Geometric Media identities:
(A+1)2 + (A-1)2 = 2(A)2 +2
(B+1)2 + (B-1)2 = 2(B)2 +2
(C+1)2 + (C-1)2 = 2(C)2 +2
Also need to know and accept logic , now real form for Fermat's Last
Theorem Equations is
{Xn + Yn - Z = 0}
and for Power 2 A2 + B2 - C2 = 0 where
C2 any Time can be an Simple Integer W .
(Those can wear a second case but don't change solution.)
Returning to ECF.2 but in old form as don't know we need at the last one to be Irrational , now
A2 + B2 - C2 = 0 ECF.2
became or said
Xn/2 ,Yn/2 , Zn/2 = 0 Solutions
For n=2k this send us back to intial problem .
Infinity Repetition of coming back to base? , this is a face of
Double False Redundancy Of Truth
and offer absolute logical power to ALL This Material, even for our First Impossible
Murgu The Lost Fundamental Operator Applied to Fermat's Last Theorem REFUSE into Integers and Rationals a Zero Term.
FMIE is Key Method for Fermat's Last Theorem - as send direct to Solutions Domain.
A logical verification via Geometric Media for :
(Xn/2+1)2 + (Xn/2-1)2+(Yn/2+1)2 + (Yn/2-1)2-
(Zn/2+1)2 - (Zn/2-1)2 =2
For n Prime Numbers >2 this is Impossible.
For Integers Divisible with 2
THE ANSWER
Subtle and hard to catch , is The Same as bring us back to Start.
Logic and Infinity Repetition For
For n Prime Numbers >2 this is Impossible.
May Be enough to say
Fermat's Last Theorem have also a Geometric Solution
But for n=3 , we demonstrated in FMIE Method using Murgu Integers
Cubic Dispersion Formula Identities and Pythagorean Triples Geometric Media.
For Divisible with 2 , to exclude all doubth , can make analyse for n=4 .
Murgu Integers Quadratic Dispersion Formula is :
(X4+i + 1) + (X4+i - 1) - 2((X+i)4) =(12(((X+i)2))+2)
Dispersion Formula from Liniar Dependence for n=3 , A Constant for n=2 Pythagorean Triples Evolved to binomial Dependence .
Analytic of Murgu Integers Quadratic Dispersion Formula make IMPOSSIBLE into Integers and Rationals
(Xn + Yn - Zn) = 0
for n divisible with 2
And Make Geometric Solution accurate and correct
Fermat's Last Theorem solution
Beggin with 2015
Now became a need any remarks
Power 2 also a Dispersion formula
(X2+1)2 + (X2-1)2 -2(X2) =2
(X+i+1)2 + (X+i-1)2 - 2((X+i)2) =2
and can be compared now with Murgu Integers Cubic Dispersion Formula
(X+i+1)3 -2((X+i))3 + (X+i-1)3 =6(X+i)
AND Murgu Integers Quadratic Dispersion Formula
(X4+i + 1) + (X4 +i - 1) - 2((X+i)4) =(12(((X+i)2))+2)
Comparing right terms 2, 6(X+i) , (12((X2))+2)
may lead to future study as also valid arguments for Future Science Logic. Then
(X4 + 1) + (X4 - 1) - 2(X4) =(12((X2))+2)
Murgu Integers Quadratic Dispersion Formula
Became an Important Math Tool
But also Murgu Pythagorean Triples Conditional.
For Power 4 already exist a solution
which confirm, but , Murgu Integers Quadratic Dispersion Formula can bring second one.
Murgu Pythagorean Triples Conditional.
Murgu Integers Cubic Dispersion Formula
Murgu Integers Quadratic Dispersion Formula
Murgu Integers Binomial Dispersion Formula
Applied Analytic to Geometric Media may solve the problem but I Insisted
to all what is above to see, or to can see any aspects as :
For a Z Real , X,Y will be Infinity To Infinity (all field) and if Z is Integer or Rational and can be connected
to any Pythagorean Triples those values are excluded. Then May Be Improper to connect Fermat's Last Theorem to any Eliptical
or even modularity if luck at Dispersions Formulas. Maybe late will can speak about Functional Divergence.
Like I said in 2015 , best Pythagorean Triples Except from Fermat's Last Theorem are an Integer at Power 2 can have also a Linear Form.
Second is Magic 2 ... (n√ 2) .
But More important because can be implied in Fermat's Last Theorem ANALYTIC as to offer to Fermat's Last Theorem
all Logical Rights as Second Fundamental Science is -
Murgu Pythagorean Triples Conditional.
Ideea for been coming form FMIE Method for Dispersions Analytic started with Power 3 , Then 4, and finaly 2.
Using binomial Dispersion
(X+i+1)2 + (X+i-1)2 - 2((X+i)2) =2
only for X,Y,Z
(X2 + 1)2 + (X2 - 1)2 - 2 = 2(X2)
(Y2 + 1)2 + (Y2 - 1)2 - 2 = 2(Y2)
(Z2 + 1)2 + (Z2 - 1)2 - 2 = 2(Z2)
using Pythagorean Triples Formula multiplayed with 2
2(Xn + Yn - Zn) = 0
(X2 + 1)2 + (X2 - 1)2 - 2 + (Y2 + 1)2 + (Y2 - 1)2 - 2 -
((Z2 + 1)2 + (Z2 - 1)2 - 2 ) =0
We get simple but util .
Murgu Pythagorean Triples Conditional.
(X + 1)2 + (X- 1)2 + (Y + 1)2 + (Y- 1)2 -
((Z + 1)2 + (Z- 1)2 ) = 2
All Integers groups (X,Y,Z) to be a Pythagorean Triple Need to verify above Equation.
SIMPLE BUT UTIL.
But we have also Second Murgu Pythagorean Triples Conditional
To start from
U3 + V3 - W3 = 0
Need it to can work with all PNG's where are functions of X,Y,Z. Now need to see X,Y,Z as:
X = √Un - Y = √Vn - Z = √Wn
or Un = X2 and so on . Now :
Second Murgu Pythagorean Triples Conditional heavy to follow analytic maybe, but not Ipossible. There for general excluding power 2 by start
a impossibility as X,Y,Z to be Integers as
Un = X2 , Vn = Y2 , Vn = Y2
If apply Murgu The Lost Fundamental Operator, first info are in Integers powers (odds) which never
but we already did our job about Fermat's Last Theorem ,
in multiple forms, and and think we meet it, then may be
absurd to follow another way when also this one show from now - Absurd.
Even if bring Second Murgu Pythagorean Triples Conditional to another form, which be exposed
down, will show for Mathematicians Eyes. In fact real it is
Time To Know :
For USA_2015_AEPDF
Fermat's Last Theorem Interest is
to make it Fundamental Science (as have absolute rights for), Then an
Accurate and Correct SOLUTION
AND TO Extract All From Fermat's Last Theorem.
For turn Back to Intro Click here
Pythagoras Theorem - Fermat's Last Theorem Blessed Except.
Maybe best Jewel of USA_2015_AEPDF - but -- Maybe The Best
Double False Redundancy Of Truth Or Murgu Quadruplets .
Pythagoras Theorem send us direct into Integers (Pythagorean Triples) . Also Murgu Pythagorean
Triples Conditional the fact, that into Integers , any Integer at power 2 may can be write as a linear function
and Power 2 in Linear Form may explain Instantly Pythagorean Triples but can't be a motivation for FLT.
All those hide a fact:
Pytagorean Triples are Coming from Irrational.
Murgu Double False Redundancy Of Truth stand as a proof.
(25 + 16)= 41 stand as a proof also as show not all X2 and Y2 can be connected to another power 2 Integer
Z2 .
Nothing Can't Contest
Every Pythagorean Triples have Infinity Images into Irrational.
This is a Science Top Knowledge Shadow Extraction
Poetic are The ways which UNITE 2 Worlds.
(X/√ 2)2 + (Y/√ 2)2 - (Z/√ 2)2 = 0
Murgu Pythagorean Triples Connector is only a Prov as those are Infinity, but but
Scientific a Science Equation which UNITE for Science 2 'Worlds'.
Science Shadow Extraction Murgu The Lost Fundamental
brought Science Base Jewels
Pythagoras Theorem - Fermat's Last Theorem Blessed Except.
is not The Last, more are coming.
Fermat's Last Theorem BEAUTY don't end here
As Second Fundamental Science can bring more LIGHT.
Murgu The Lost Fundamental make Fermat's Last Theorem FUNDAMENTAL.
Murgu The Lost Fundamental use for
Fermat's Last Theorem Analytic brought lots
Math and even Science Miracles - One is or are
Special Murgu Quadruplets - Murgu Quadruplets.
Those 2 Fundamentals (Murgu The Lost Fundamental and Fermat's Last Theorem
Fermat's Last Theorem Fundamental) brought also any Mathematics New Tools for Science.
For Sure : Double False Redundancy Of Truth , Euler-Murgu Equations 1 Equal 1 , God Equations Of
Balance, Murgu Pythagorean Triples Conditional, Murgu Integers Cubic Dispersion Formula and ..
will be there when needed.
Special Murgu Quadruplets are a result of play Analytic and build in Perl a program which
to analyze
Z3 - X3 - Y3 = FminX,Y
Launch Fermat Murgu Quadruplets Analytic idea Table.
I named Fermat Murgu Quadruplets Analytic results for which
Z3 - X3 - Y3 = 1
Importants because are Special Murgu Quadruplets generators
Which, I hope became and brought for Linear Algebra New Future.
This Started from a deep analysis of Proof for n=3.
I will say that all Fermat's Last Theorem treated as proof for every n are wrong,
and for n=3 also
As can't proof for every I can inscribe a Murgu Quadruplet
Z3 - X3 - Y3 = I as I=Integer
and Proof Eliptics Path
around 0 = Demonstration if Proof for all I which can follow 300- years.
because most of them are using Pythagoras Triples which AEPDF demonstrated are only
Fermat's Last Theorem exceptions.
For n=3 , proof analyze using a PERL program for minimum function
Z3 - X3 - Y3 = FminX,Y
for Z =6 to 1200 , negatives value are for Z3 < (X3 - Y3)
and because we have interest into close approach of 0 from both sides.
The table is down and all Mathematicians can analyze even Elliptical Curves or Modular connection.
Anyway seem to not suggest any aproch for Elliptical patch.
Neither of Modular.
I make all this work to bring in Science and in Linear Algebra
Beuty and Real New Groups
and hope those will surpass now Pythagorean Triples Group.
Down the table of Perl Program results with mention I stoped at a limit of Computer Power.
| 6 | 6 | 3 | -27 | ** | 7 | 6 | 5 | 2 | ** | 8 | 7 | 5 | 44 | ** | 9 | 8 | 6 | 1 | ** | 10 | 8 | 8 | -24 | ** | 11 | 10 | 7 | -12 |
| 12 | 10 | 9 | -1 | ** | 13 | 12 | 8 | -43 | ** | 14 | 12 | 10 | 16 | ** | 15 | 12 | 12 | -81 | ** | 16 | 15 | 9 | -8 | ** | 17 | 14 | 13 | -28 |
| 18 | 16 | 12 | 8 | ** | 19 | 16 | 14 | 19 | ** | 20 | 18 | 13 | -29 | ** | 21 | 18 | 15 | 54 | ** | 22 | 21 | 11 | 56 | ** | 23 | 20 | 16 | 71 |
| 24 | 20 | 18 | -8 | ** | 25 | 22 | 17 | 64 | ** | 26 | 22 | 19 | 69 | ** | 27 | 24 | 18 | 27 | ** | 28 | 13 | 27 | 72 | ** | 29 | 26 | 19 | -46 |
| 30 | 14 | 29 | -133 | ** | 31 | 14 | 30 | 47 | ** | 32 | 30 | 18 | -64 | ** | 33 | 28 | 24 | 161 | ** | 34 | 15 | 33 | -8 | ** | 35 | 33 | 19 | 79 |
| 36 | 30 | 27 | -27 | ** | 37 | 16 | 36 | -99 | ** | 38 | 34 | 25 | -57 | ** | 39 | 31 | 31 | -263 | ** | 40 | 38 | 21 | -133 | ** | 41 | 17 | 40 | 8 |
| 42 | 17 | 41 | 254 | ** | 43 | 41 | 22 | -62 | ** | 44 | 18 | 43 | -155 | ** | 45 | 18 | 44 | 109 | ** | 46 | 44 | 23 | -15 | ** | 47 | 42 | 31 | -56 |
| 48 | 40 | 36 | -64 | ** | 49 | 47 | 24 | 2 | ** | 50 | 42 | 37 | 259 | ** | 51 | 48 | 28 | 107 | ** | 52 | 25 | 50 | -17 | ** | 53 | 20 | 52 | 269 |
| 54 | 48 | 36 | 216 | ** | 55 | 26 | 53 | -78 | ** | 56 | 21 | 55 | -20 | ** | 57 | 21 | 56 | 316 | ** | 58 | 47 | 45 | 164 | ** | 59 | 56 | 31 | -28 |
| 60 | 22 | 59 | -27 | ** | 61 | 22 | 60 | 333 | ** | 62 | 59 | 32 | 181 | ** | 63 | 50 | 50 | 47 | ** | 64 | 23 | 63 | -70 | ** | 65 | 58 | 43 | 6 |
| 66 | 23 | 65 | 704 | ** | 67 | 63 | 37 | 63 | ** | 68 | 30 | 66 | -64 | ** | 69 | 24 | 68 | 253 | ** | 70 | 57 | 54 | 343 | ** | 71 | 31 | 69 | -389 |
| 72 | 60 | 54 | -216 | ** | 73 | 25 | 72 | 144 | ** | 74 | 66 | 49 | 79 | ** | 75 | 71 | 40 | -36 | ** | 76 | 69 | 48 | -125 | ** | 77 | 26 | 76 | -19 |
| 78 | 73 | 44 | 351 | ** | 79 | 66 | 59 | 164 | ** | 80 | 64 | 63 | -191 | ** | 81 | 27 | 80 | -242 | ** | 82 | 34 | 80 | 64 | ** | 83 | 78 | 46 | -101 |
| 84 | 70 | 63 | -343 | ** | 85 | 77 | 54 | 128 | ** | 86 | 28 | 85 | -21 | ** | 87 | 71 | 67 | -171 | ** | 88 | 83 | 48 | -907 | ** | 89 | 41 | 86 | -8 |
| 90 | 83 | 54 | -251 | ** | 91 | 86 | 49 | -134 | ** | 92 | 88 | 46 | -120 | ** | 93 | 37 | 91 | 133 | ** | 94 | 88 | 53 | 235 | ** | 95 | 91 | 47 | -19 |
| 96 | 30 | 95 | 361 | ** | 97 | 77 | 77 | -393 | ** | 98 | 48 | 94 | 16 | ** | 99 | 81 | 76 | -118 | ** | 100 | 31 | 99 | -90 | ** | 101 | 49 | 97 | -21 |
| 102 | 45 | 99 | -216 | ** | 103 | 94 | 64 | -1 | ** | 104 | 50 | 100 | -136 | ** | 105 | 32 | 104 | -7 | ** | 106 | 98 | 63 | -223 | ** | 107 | 51 | 103 | -335 |
| 108 | 41 | 106 | -225 | ** | 109 | 47 | 106 | 190 | ** | 110 | 33 | 109 | 34 | ** | 111 | 91 | 85 | -65 | ** | 112 | 42 | 110 | -160 | ** | 113 | 53 | 109 | -1009 |
| 114 | 103 | 73 | -200 | ** | 115 | 34 | 114 | 27 | ** | 116 | 43 | 114 | -155 | ** | 117 | 101 | 83 | -475 | ** | 118 | 112 | 62 | -224 | ** | 119 | 103 | 84 | -272 |
| 120 | 35 | 119 | -34 | ** | 121 | 108 | 80 | -151 | ** | 122 | 105 | 87 | -280 | ** | 123 | 101 | 94 | -18 | ** | 124 | 107 | 88 | 109 | ** | 125 | 36 | 124 | -155 |
| 126 | 101 | 99 | -224 | ** | 127 | 106 | 95 | -8 | ** | 128 | 111 | 90 | 521 | ** | 129 | 111 | 92 | 370 | ** | 130 | 116 | 86 | 48 | ** | 131 | 37 | 130 | 438 |
| 132 | 123 | 76 | 125 | ** | 133 | 108 | 103 | 198 | ** | 134 | 117 | 93 | 134 | ** | 135 | 111 | 103 | 17 | ** | 136 | 38 | 135 | 209 | ** | 137 | 128 | 78 | -351 |
| 138 | 132 | 69 | -405 | ** | 139 | 116 | 104 | -141 | ** | 140 | 39 | 139 | -938 | ** | 141 | 49 | 139 | -47 | ** | 142 | 134 | 77 | 651 | ** | 143 | 133 | 83 | -217 |
| 144 | 71 | 138 | 1 | ** | 145 | 57 | 142 | 144 | ** | 146 | 40 | 145 | -489 | ** | 147 | 121 | 112 | 34 | ** | 148 | 141 | 76 | -405 | ** | 149 | 127 | 108 | -146 |
| 150 | 73 | 144 | -1 | ** | 151 | 126 | 113 | -322 | ** | 152 | 41 | 151 | -64 | ** | 153 | 74 | 147 | -170 | ** | 154 | 52 | 152 | -152 | ** | 155 | 125 | 121 | -811 |
| 156 | 137 | 107 | 20 | ** | 157 | 71 | 152 | 174 | ** | 158 | 149 | 86 | 307 | ** | 159 | 131 | 121 | 27 | ** | 160 | 127 | 127 | -766 | ** | 161 | 146 | 102 | -63 |
| 162 | 43 | 161 | -1260 | ** | 163 | 54 | 161 | 2 | ** | 164 | 156 | 85 | 403 | ** | 165 | 145 | 113 | 603 | ** | 166 | 141 | 121 | -486 | ** | 167 | 135 | 130 | 88 |
| 168 | 63 | 165 | -540 | ** | 169 | 44 | 168 | -7 | ** | 170 | 153 | 110 | 423 | ** | 171 | 141 | 130 | -10 | ** | 172 | 138 | 135 | 1 | ** | 173 | 159 | 105 | 413 |
| 174 | 164 | 95 | -295 | ** | 175 | 45 | 174 | 226 | ** | 176 | 155 | 120 | -99 | ** | 177 | 77 | 172 | 252 | ** | 178 | 82 | 172 | -64 | ** | 179 | 163 | 112 | -336 |
| 180 | 46 | 179 | -675 | ** | 181 | 46 | 180 | 405 | ** | 182 | 73 | 178 | -201 | ** | 183 | 151 | 139 | -83 | ** | 184 | 176 | 92 | -960 | ** | 185 | 171 | 110 | 414 |
| 186 | 59 | 184 | -27 | ** | 187 | 179 | 93 | -493 | ** | 188 | 68 | 185 | -1385 | ** | 189 | 151 | 149 | 369 | ** | 190 | 161 | 139 | 100 | ** | 191 | 86 | 185 | 190 |
| 192 | 48 | 191 | -575 | ** | 193 | 95 | 185 | 57 | ** | 194 | 185 | 99 | -540 | ** | 195 | 174 | 129 | 162 | ** | 196 | 96 | 188 | 128 | ** | 197 | 77 | 193 | -217 |
| 198 | 49 | 197 | -630 | ** | 199 | 97 | 191 | 55 | ** | 200 | 62 | 198 | -720 | ** | 201 | 71 | 198 | 298 | ** | 202 | 98 | 194 | -168 | ** | 203 | 50 | 202 | -1981 |
| 204 | 182 | 135 | 721 | ** | 205 | 181 | 139 | -235 | ** | 206 | 188 | 128 | -8 | ** | 207 | 171 | 157 | -361 | ** | 208 | 189 | 131 | -448 | ** | 209 | 198 | 111 | -694 |
| 210 | 64 | 208 | -56 | ** | 211 | 92 | 205 | 118 | ** | 212 | 87 | 207 | -118 | ** | 213 | 195 | 131 | 631 | ** | 214 | 189 | 145 | 450 | ** | 215 | 65 | 213 | 153 |
| 216 | 199 | 130 | 97 | ** | 217 | 52 | 216 | 9 | ** | 218 | 75 | 215 | -18 | ** | 219 | 181 | 166 | -578 | ** | 220 | 66 | 218 | 272 | ** | 221 | 95 | 215 | -1889 |
| 222 | 182 | 170 | -520 | ** | 223 | 90 | 218 | 335 | ** | 224 | 53 | 223 | 980 | ** | 225 | 101 | 218 | 92 | ** | 226 | 191 | 166 | 1009 | ** | 227 | 77 | 224 | 1126 |
| 228 | 85 | 224 | -1197 | ** | 229 | 54 | 228 | -827 | ** | 230 | 68 | 228 | 216 | ** | 231 | 78 | 228 | -513 | ** | 232 | 189 | 179 | 560 | ** | 233 | 213 | 144 | -244 |
| 234 | 192 | 179 | -323 | ** | 235 | 69 | 233 | 29 | ** | 236 | 55 | 235 | 6 | ** | 237 | 214 | 152 | -99 | ** | 238 | 201 | 175 | 1296 | ** | 239 | 118 | 229 | -102 |
| 240 | 80 | 237 | -53 | ** | 241 | 227 | 132 | 470 | ** | 242 | 119 | 232 | 161 | ** | 243 | 215 | 164 | -412 | ** | 244 | 199 | 188 | 1513 | ** | 245 | 107 | 238 | -190 |
| 246 | 202 | 188 | -144 | ** | 247 | 199 | 193 | -433 | ** | 248 | 121 | 238 | 159 | ** | 249 | 235 | 135 | -1 | ** | 250 | 72 | 248 | -1240 | ** | 251 | 122 | 241 | -118 |
| 252 | 223 | 170 | 441 | ** | 253 | 98 | 248 | 93 | ** | 254 | 212 | 190 | -64 | ** | 255 | 222 | 178 | 575 | ** | 256 | 220 | 183 | 729 | ** | 257 | 224 | 179 | -170 |
| 258 | 212 | 197 | 11 | ** | 259 | 116 | 251 | -168 | ** | 260 | 232 | 172 | 384 | ** | 261 | 74 | 259 | 378 | ** | 262 | 59 | 261 | -232 | ** | 263 | 242 | 159 | -720 |
| 264 | 237 | 172 | -757 | ** | 265 | 94 | 261 | -540 | ** | 266 | 75 | 264 | -523 | ** | 267 | 123 | 258 | -216 | ** | 268 | 234 | 186 | 1072 | ** | 269 | 60 | 268 | 277 |
| 270 | 222 | 206 | 136 | ** | 271 | 232 | 195 | 468 | ** | 272 | 87 | 269 | 36 | ** | 273 | 245 | 178 | 540 | ** | 274 | 231 | 202 | 2025 | ** | 275 | 256 | 159 | -20 |
| 276 | 236 | 199 | -279 | ** | 277 | 77 | 275 | 525 | ** | 278 | 232 | 208 | -1128 | ** | 279 | 122 | 271 | -720 | ** | 280 | 261 | 161 | -862 | ** | 281 | 246 | 194 | -279 |
| 282 | 232 | 215 | 225 | ** | 283 | 260 | 172 | 739 | ** | 284 | 256 | 183 | 601 | ** | 285 | 133 | 275 | -387 | ** | 286 | 227 | 227 | -510 | ** | 287 | 269 | 161 | 1513 |
| 288 | 142 | 276 | 8 | ** | 289 | 63 | 288 | -350 | ** | 290 | 257 | 195 | -468 | ** | 291 | 143 | 279 | 325 | ** | 292 | 256 | 201 | -729 | ** | 293 | 80 | 291 | -414 |
| 294 | 242 | 224 | 272 | ** | 295 | 101 | 291 | -97 | ** | 296 | 64 | 295 | -183 | ** | 297 | 145 | 285 | 323 | ** | 298 | 254 | 216 | -1168 | ** | 299 | 285 | 153 | 197 |
| 300 | 146 | 288 | -8 | ** | 301 | 138 | 291 | 658 | ** | 302 | 65 | 301 | -1918 | ** | 303 | 65 | 302 | -106 | ** | 304 | 82 | 302 | -512 | ** | 305 | 118 | 299 | -1306 |
| 306 | 252 | 233 | 271 | ** | 307 | 284 | 182 | -429 | ** | 308 | 104 | 304 | -1216 | ** | 309 | 282 | 192 | -27 | ** | 310 | 66 | 309 | -125 | ** | 311 | 283 | 195 | 169 |
| 312 | 297 | 161 | -26 | ** | 313 | 283 | 200 | -890 | ** | 314 | 142 | 304 | 1392 | ** | 315 | 252 | 248 | -125 | ** | 316 | 282 | 209 | -601 | ** | 317 | 67 | 316 | -246 |
| 318 | 262 | 242 | 216 | ** | 319 | 260 | 246 | -1177 | ** | 320 | 97 | 317 | 314 | ** | 321 | 85 | 319 | 277 | ** | 322 | 292 | 204 | -504 | ** | 323 | 299 | 191 | -503 |
| 324 | 305 | 178 | -153 | ** | 325 | 98 | 322 | 685 | ** | 326 | 108 | 322 | 16 | ** | 327 | 278 | 238 | -441 | ** | 328 | 163 | 314 | -2339 | ** | 329 | 295 | 215 | 539 |
| 330 | 272 | 251 | 101 | ** | 331 | 270 | 255 | 316 | ** | 332 | 265 | 262 | 15 | ** | 333 | 273 | 255 | -1755 | ** | 334 | 165 | 320 | -421 | ** | 335 | 110 | 331 | -316 |
| 336 | 307 | 208 | -299 | ** | 337 | 166 | 323 | 190 | ** | 338 | 88 | 336 | -56 | ** | 339 | 70 | 338 | 747 | ** | 340 | 309 | 214 | 27 | ** | 341 | 324 | 178 | -155 |
| 342 | 282 | 260 | -80 | ** | 343 | 322 | 191 | -512 | ** | 344 | 276 | 270 | 8 | ** | 345 | 329 | 176 | 560 | ** | 346 | 307 | 232 | 125 | ** | 347 | 71 | 346 | 2276 |
| 348 | 157 | 337 | 1546 | ** | 349 | 170 | 335 | 174 | ** | 350 | 103 | 347 | 350 | ** | 351 | 148 | 342 | 71 | ** | 352 | 171 | 338 | -475 | ** | 353 | 72 | 352 | -479 |
| 354 | 292 | 269 | -333 | ** | 355 | 104 | 352 | -197 | ** | 356 | 164 | 344 | -512 | ** | 357 | 293 | 273 | -881 | ** | 358 | 115 | 354 | -27 | ** | 359 | 124 | 354 | -209 |
| 360 | 105 | 357 | -918 | ** | 361 | 73 | 360 | 864 | ** | 362 | 73 | 361 | 3030 | ** | 363 | 332 | 224 | -1645 | ** | 364 | 146 | 356 | -1608 | ** | 365 | 140 | 358 | 413 |
| 366 | 317 | 258 | -629 | ** | 367 | 317 | 260 | -150 | ** | 368 | 74 | 367 | -55 | ** | 369 | 303 | 282 | -486 | ** | 370 | 319 | 263 | -206 | ** | 371 | 353 | 192 | -54 |
| 372 | 118 | 368 | -216 | ** | 373 | 94 | 371 | -278 | ** | 374 | 174 | 361 | -281 | ** | 375 | 75 | 374 | -1124 | ** | 376 | 327 | 263 | 146 | ** | 377 | 119 | 373 | 2357 |
| 378 | 340 | 245 | 27 | ** | 379 | 95 | 377 | -69 | ** | 380 | 322 | 278 | 800 | ** | 381 | 364 | 192 | -91 | ** | 382 | 317 | 288 | 83 | ** | 383 | 76 | 382 | -57 |
| 384 | 76 | 383 | 2241 | ** | 385 | 96 | 383 | 2 | ** | 386 | 110 | 383 | -431 | ** | 387 | 314 | 300 | 1459 | ** | 388 | 333 | 278 | 83 | ** | 389 | 191 | 373 | 881 |
| 390 | 364 | 223 | 889 | ** | 391 | 122 | 387 | 20 | ** | 392 | 192 | 376 | 1024 | ** | 393 | 337 | 282 | -64 | ** | 394 | 160 | 385 | 359 | ** | 395 | 193 | 379 | 879 |
| 396 | 123 | 392 | 1981 | ** | 397 | 98 | 395 | -294 | ** | 398 | 194 | 382 | 440 | ** | 399 | 167 | 389 | -133 | ** | 400 | 380 | 209 | -1329 | ** | 401 | 195 | 385 | -299 |
| 402 | 357 | 269 | 406 | ** | 403 | 134 | 398 | -69 | ** | 404 | 353 | 280 | 287 | ** | 405 | 163 | 396 | 242 | ** | 406 | 79 | 405 | 252 | ** | 407 | 379 | 235 | 1329 |
| 408 | 189 | 394 | 3059 | ** | 409 | 100 | 407 | -1214 | ** | 410 | 362 | 278 | -1880 | ** | 411 | 365 | 275 | 2531 | ** | 412 | 376 | 256 | -64 | ** | 413 | 80 | 412 | -1531 |
| 414 | 334 | 323 | -27 | ** | 415 | 391 | 227 | -179 | ** | 416 | 395 | 218 | 1189 | ** | 417 | 343 | 318 | 674 | ** | 418 | 351 | 310 | 81 | ** | 419 | 337 | 328 | -246 |
| 420 | 128 | 416 | -448 | ** | 421 | 161 | 413 | 183 | ** | 422 | 184 | 410 | 944 | ** | 423 | 399 | 230 | -1232 | ** | 424 | 174 | 414 | -944 | ** | 425 | 129 | 421 | 475 |
| 426 | 373 | 294 | 1475 | ** | 427 | 408 | 215 | -1204 | ** | 428 | 103 | 426 | 1249 | ** | 429 | 82 | 428 | -531 | ** | 430 | 409 | 223 | -496 | ** | 431 | 170 | 422 | -1457 |
| 432 | 213 | 414 | 27 | ** | 433 | 397 | 265 | 2339 | ** | 434 | 104 | 432 | 72 | ** | 435 | 214 | 417 | 818 | ** | 436 | 150 | 430 | -144 | ** | 437 | 83 | 436 | -190 |
| 438 | 215 | 420 | 1297 | ** | 439 | 401 | 272 | -330 | ** | 440 | 184 | 429 | 907 | ** | 441 | 159 | 434 | -62 | ** | 442 | 377 | 320 | 255 | ** | 443 | 403 | 278 | 2528 |
| 444 | 143 | 439 | -342 | ** | 445 | 401 | 287 | 21 | ** | 446 | 398 | 295 | -631 | ** | 447 | 218 | 429 | 802 | ** | 448 | 393 | 308 | -1177 | ** | 449 | 153 | 443 | -1035 |
| 450 | 219 | 432 | -27 | ** | 451 | 422 | 255 | 1028 | ** | 452 | 368 | 349 | 827 | ** | 453 | 216 | 436 | 125 | ** | 454 | 412 | 287 | 2233 | ** | 455 | 368 | 354 | -1521 |
| 456 | 199 | 443 | -90 | ** | 457 | 183 | 447 | 883 | ** | 458 | 146 | 453 | 99 | ** | 459 | 391 | 333 | 71 | ** | 460 | 425 | 274 | -449 | ** | 461 | 86 | 460 | 125 |
| 462 | 124 | 459 | 1925 | ** | 463 | 215 | 447 | -151 | ** | 464 | 378 | 358 | 4480 | ** | 465 | 191 | 454 | 90 | ** | 466 | 165 | 459 | -8 | ** | 467 | 415 | 312 | 2860 |
| 468 | 411 | 321 | 540 | ** | 469 | 87 | 468 | -26 | ** | 470 | 138 | 466 | 232 | ** | 471 | 158 | 465 | -1826 | ** | 472 | 110 | 470 | 48 | ** | 473 | 126 | 470 | 441 |
| 474 | 446 | 261 | 307 | ** | 475 | 451 | 249 | -225 | ** | 476 | 440 | 283 | 989 | ** | 477 | 88 | 476 | -315 | ** | 478 | 236 | 458 | -816 | ** | 479 | 220 | 463 | 1392 |
| 480 | 160 | 474 | -424 | ** | 481 | 237 | 461 | 407 | ** | 482 | 447 | 283 | 358 | ** | 483 | 461 | 245 | 281 | ** | 484 | 217 | 469 | -118 | ** | 485 | 112 | 483 | 610 |
| 486 | 89 | 485 | 2162 | ** | 487 | 390 | 383 | 416 | ** | 488 | 422 | 345 | -801 | ** | 489 | 162 | 483 | 54 | ** | 490 | 129 | 487 | 1008 | ** | 491 | 453 | 294 | -1090 |
| 492 | 391 | 390 | 17 | ** | 493 | 416 | 363 | -286 | ** | 494 | 426 | 351 | 1457 | ** | 495 | 438 | 334 | -1 | ** | 496 | 154 | 491 | 901 | ** | 497 | 428 | 354 | -1143 |
| 498 | 470 | 270 | -8 | ** | 499 | 243 | 479 | 353 | ** | 500 | 173 | 493 | -874 | ** | 501 | 413 | 381 | 163 | ** | 502 | 91 | 501 | 936 | ** | 503 | 462 | 306 | -217 |
| 504 | 414 | 385 | -505 | ** | 505 | 426 | 372 | 1 | ** | 506 | 453 | 332 | 171 | ** | 507 | 132 | 504 | -189 | ** | 508 | 447 | 347 | -34 | ** | 509 | 203 | 498 | 810 |
| 510 | 92 | 509 | 83 | ** | 511 | 116 | 509 | -294 | ** | 512 | 463 | 327 | -902 | ** | 513 | 423 | 390 | -270 | ** | 514 | 457 | 343 | -856 | ** | 515 | 470 | 320 | -125 |
| 516 | 414 | 405 | 27 | ** | 517 | 436 | 381 | 216 | ** | 518 | 93 | 517 | -938 | ** | 519 | 482 | 303 | 64 | ** | 520 | 434 | 389 | -2373 | ** | 521 | 433 | 392 | 1736 |
| 522 | 499 | 262 | 421 | ** | 523 | 480 | 319 | 1908 | ** | 524 | 118 | 522 | -1856 | ** | 525 | 433 | 399 | -811 | ** | 526 | 187 | 518 | 541 | ** | 527 | 149 | 523 | -433 |
| 528 | 434 | 403 | 621 | ** | 529 | 220 | 516 | -207 | ** | 530 | 161 | 525 | 594 | ** | 531 | 119 | 529 | 243 | ** | 532 | 150 | 528 | -4184 | ** | 533 | 443 | 401 | -71 |
| 534 | 246 | 516 | -1728 | ** | 535 | 95 | 534 | -304 | ** | 536 | 137 | 533 | -134 | ** | 537 | 482 | 350 | -1015 | ** | 538 | 496 | 323 | -1331 | ** | 539 | 211 | 528 | -1064 |
| 540 | 435 | 422 | -323 | ** | 541 | 456 | 399 | 406 | ** | 542 | 495 | 336 | -343 | ** | 543 | 152 | 539 | 380 | ** | 544 | 174 | 538 | 288 | ** | 545 | 507 | 316 | 286 |
| 546 | 502 | 331 | 637 | ** | 547 | 468 | 394 | 1107 | ** | 548 | 241 | 532 | 303 | ** | 549 | 519 | 295 | -1585 | ** | 550 | 512 | 318 | -160 | ** | 551 | 449 | 425 | -323 |
| 552 | 256 | 533 | -45 | ** | 553 | 466 | 408 | 369 | ** | 554 | 265 | 533 | 2402 | ** | 555 | 442 | 439 | -1532 | ** | 556 | 515 | 328 | 1189 | ** | 557 | 202 | 548 | -307 |
| 558 | 473 | 408 | -17 | ** | 559 | 155 | 555 | -871 | ** | 560 | 98 | 559 | -2071 | ** | 561 | 223 | 549 | -235 | ** | 562 | 250 | 545 | 703 | ** | 563 | 528 | 315 | -280 |
| 564 | 464 | 430 | 1800 | ** | 565 | 476 | 417 | 236 | ** | 566 | 188 | 559 | -55 | ** | 567 | 506 | 375 | -4328 | ** | 568 | 543 | 285 | -1700 | ** | 569 | 99 | 568 | -722 |
| 570 | 237 | 556 | 1331 | ** | 571 | 511 | 375 | 2205 | ** | 572 | 530 | 337 | -505 | ** | 573 | 466 | 443 | -486 | ** | 574 | 490 | 415 | -3151 | ** | 575 | 190 | 568 | -57 |
| 576 | 284 | 552 | 64 | ** | 577 | 486 | 426 | 1 | ** | 578 | 100 | 577 | 519 | ** | 579 | 515 | 386 | 1208 | ** | 580 | 171 | 575 | 2414 | ** | 581 | 487 | 432 | 70 |
| 582 | 256 | 565 | -1973 | ** | 583 | 534 | 358 | -729 | ** | 584 | 192 | 577 | -1217 | ** | 585 | 172 | 580 | 1177 | ** | 586 | 209 | 577 | 694 | ** | 587 | 236 | 574 | -1477 |
| 588 | 484 | 448 | 2176 | ** | 589 | 496 | 435 | -342 | ** | 590 | 173 | 585 | -342 | ** | 591 | 475 | 463 | 349 | ** | 592 | 128 | 590 | -1464 | ** | 593 | 225 | 582 | -136 |
| 594 | 290 | 570 | 2584 | ** | 595 | 102 | 594 | -917 | ** | 596 | 265 | 578 | -1441 | ** | 597 | 291 | 573 | 1485 | ** | 598 | 570 | 306 | 1576 | ** | 599 | 129 | 597 | -1063 |
| 600 | 292 | 576 | -64 | ** | 601 | 506 | 444 | -799 | ** | 602 | 148 | 599 | 3617 | ** | 603 | 566 | 336 | 1675 | ** | 604 | 103 | 603 | -90 | ** | 605 | 103 | 604 | 3534 |
| 606 | 290 | 583 | 729 | ** | 607 | 214 | 598 | 1007 | ** | 608 | 575 | 326 | 361 | ** | 609 | 578 | 320 | -2023 | ** | 610 | 527 | 432 | -3751 | ** | 611 | 529 | 431 | 251 |
| 612 | 504 | 466 | 2168 | ** | 613 | 223 | 603 | 603 | ** | 614 | 150 | 611 | 1413 | ** | 615 | 505 | 470 | -2250 | ** | 616 | 266 | 599 | 2001 | ** | 617 | 590 | 309 | 2484 |
| 618 | 564 | 384 | -216 | ** | 619 | 306 | 593 | -3814 | ** | 620 | 151 | 617 | -64 | ** | 621 | 535 | 442 | 1798 | ** | 622 | 291 | 600 | -323 | ** | 623 | 592 | 325 | 1554 |
| 624 | 594 | 322 | -208 | ** | 625 | 167 | 621 | 101 | ** | 626 | 180 | 621 | -685 | ** | 627 | 561 | 412 | -1126 | ** | 628 | 309 | 602 | 2315 | ** | 629 | 581 | 375 | 873 |
| 630 | 202 | 623 | 225 | ** | 631 | 106 | 630 | 1575 | ** | 632 | 153 | 629 | -3798 | ** | 633 | 581 | 386 | 740 | ** | 634 | 545 | 453 | 1802 | ** | 635 | 504 | 504 | -253 |
| 636 | 564 | 427 | -1171 | ** | 637 | 300 | 614 | -691 | ** | 638 | 107 | 637 | -5824 | ** | 639 | 525 | 488 | -278 | ** | 640 | 107 | 639 | 1838 | ** | 641 | 297 | 619 | -11 |
| 642 | 170 | 638 | 2216 | ** | 643 | 604 | 357 | -450 | ** | 644 | 205 | 637 | 6 | ** | 645 | 589 | 400 | -344 | ** | 646 | 231 | 636 | 289 | ** | 647 | 517 | 510 | 610 |
| 648 | 605 | 370 | -333 | ** | 649 | 316 | 623 | 586 | ** | 650 | 281 | 632 | 991 | ** | 651 | 156 | 648 | 243 | ** | 652 | 216 | 644 | 128 | ** | 653 | 247 | 641 | 1133 |
| 654 | 225 | 645 | -486 | ** | 655 | 318 | 629 | -4246 | ** | 656 | 603 | 398 | -603 | ** | 657 | 302 | 635 | 1910 | ** | 658 | 315 | 633 | -1700 | ** | 659 | 615 | 377 | 171 |
| 660 | 609 | 395 | -404 | ** | 661 | 218 | 653 | -528 | ** | 662 | 585 | 448 | 511 | ** | 663 | 634 | 332 | -225 | ** | 664 | 530 | 524 | 120 | ** | 665 | 243 | 654 | 4454 |
| 666 | 110 | 665 | -2329 | ** | 667 | 291 | 648 | 1000 | ** | 668 | 188 | 663 | -1287 | ** | 669 | 573 | 481 | 1151 | ** | 670 | 139 | 668 | -251 | ** | 671 | 331 | 643 | -687 |
| 672 | 559 | 505 | -56 | ** | 673 | 631 | 377 | -1007 | ** | 674 | 332 | 646 | 1520 | ** | 675 | 547 | 524 | 1728 | ** | 676 | 176 | 672 | -448 | ** | 677 | 278 | 661 | -1000 |
| 678 | 140 | 676 | 5976 | ** | 679 | 621 | 419 | 3719 | ** | 680 | 618 | 428 | 216 | ** | 681 | 290 | 663 | -2006 | ** | 682 | 648 | 356 | -1240 | ** | 683 | 650 | 353 | 10 |
| 684 | 296 | 665 | -457 | ** | 685 | 112 | 684 | 693 | ** | 686 | 644 | 382 | -4096 | ** | 687 | 640 | 396 | -433 | ** | 688 | 552 | 540 | 64 | ** | 689 | 325 | 664 | -300 |
| 690 | 658 | 352 | 4480 | ** | 691 | 276 | 676 | -981 | ** | 692 | 619 | 455 | 854 | ** | 693 | 635 | 425 | -943 | ** | 694 | 113 | 693 | -70 | ** | 695 | 590 | 507 | -468 |
| 696 | 634 | 435 | 557 | ** | 697 | 622 | 461 | -5156 | ** | 698 | 627 | 454 | -155 | ** | 699 | 143 | 697 | -981 | ** | 700 | 619 | 473 | -476 | ** | 701 | 333 | 675 | -811 |
| 702 | 296 | 684 | 568 | ** | 703 | 273 | 689 | -259 | ** | 704 | 114 | 703 | 3193 | ** | 705 | 207 | 699 | 783 | ** | 706 | 253 | 695 | -836 | ** | 707 | 652 | 424 | 411 |
| 708 | 165 | 705 | 162 | ** | 709 | 318 | 687 | 694 | ** | 710 | 208 | 704 | -1576 | ** | 711 | 196 | 706 | 79 | ** | 712 | 115 | 711 | -2178 | ** | 713 | 269 | 700 | 1988 |
| 714 | 145 | 712 | 1591 | ** | 715 | 305 | 696 | -286 | ** | 716 | 230 | 708 | -216 | ** | 717 | 354 | 687 | -2754 | ** | 718 | 629 | 495 | 668 | ** | 719 | 661 | 436 | 8322 |
| 720 | 355 | 690 | 125 | ** | 721 | 658 | 448 | -343 | ** | 722 | 116 | 721 | 791 | ** | 723 | 683 | 390 | 2080 | ** | 724 | 614 | 529 | -8009 | ** | 725 | 265 | 713 | 1403 |
| 726 | 687 | 388 | 3401 | ** | 727 | 681 | 409 | 1413 | ** | 728 | 591 | 564 | -2863 | ** | 729 | 242 | 720 | 1 | ** | 730 | 338 | 705 | -97 | ** | 731 | 251 | 721 | -721 |
| 732 | 613 | 545 | -1854 | ** | 733 | 634 | 518 | 901 | ** | 734 | 636 | 517 | -965 | ** | 735 | 224 | 728 | -2401 | ** | 736 | 148 | 734 | -440 | ** | 737 | 636 | 523 | 430 |
| 738 | 244 | 729 | -1 | ** | 739 | 696 | 405 | -242 | ** | 740 | 225 | 733 | 538 | ** | 741 | 350 | 714 | -323 | ** | 742 | 706 | 384 | -432 | ** | 743 | 333 | 720 | -1630 |
| 744 | 236 | 736 | -1728 | ** | 745 | 226 | 738 | 3177 | ** | 746 | 215 | 740 | -1439 | ** | 747 | 705 | 405 | -27 | ** | 748 | 683 | 464 | -339 | ** | 749 | 677 | 479 | -1223 |
| 750 | 119 | 749 | 92 | ** | 751 | 150 | 749 | 2 | ** | 752 | 654 | 526 | 1168 | ** | 753 | 358 | 725 | -3060 | ** | 754 | 706 | 425 | -377 | ** | 755 | 712 | 411 | -1784 |
| 756 | 680 | 490 | 216 | ** | 757 | 677 | 498 | 3368 | ** | 758 | 190 | 754 | -552 | ** | 759 | 364 | 730 | -65 | ** | 760 | 173 | 757 | 190 | ** | 761 | 606 | 602 | -1143 |
| 762 | 728 | 384 | -728 | ** | 763 | 700 | 466 | 251 | ** | 764 | 191 | 760 | -127 | ** | 765 | 267 | 754 | 1898 | ** | 766 | 259 | 756 | -99 | ** | 767 | 709 | 456 | -1982 |
| 768 | 713 | 449 | -1114 | ** | 769 | 121 | 768 | 216 | ** | 770 | 192 | 766 | 16 | ** | 771 | 733 | 401 | -27 | ** | 772 | 220 | 766 | -3448 | ** | 773 | 291 | 759 | 2267 |
| 774 | 636 | 591 | 297 | ** | 775 | 634 | 595 | -604 | ** | 776 | 193 | 772 | -129 | ** | 777 | 208 | 772 | -1127 | ** | 778 | 122 | 777 | -2329 | ** | 779 | 253 | 770 | 1862 |
| 780 | 685 | 535 | 2500 | ** | 781 | 670 | 560 | 541 | ** | 782 | 244 | 774 | 160 | ** | 783 | 718 | 479 | 216 | ** | 784 | 684 | 545 | -1825 | ** | 785 | 695 | 529 | -1639 |
| 786 | 669 | 571 | -64 | ** | 787 | 644 | 604 | 4555 | ** | 788 | 123 | 787 | -398 | ** | 789 | 733 | 460 | 232 | ** | 790 | 631 | 623 | -4958 | ** | 791 | 678 | 568 | -2513 |
| 792 | 309 | 776 | 883 | ** | 793 | 348 | 770 | 65 | ** | 794 | 196 | 790 | -2352 | ** | 795 | 274 | 784 | -1253 | ** | 796 | 659 | 602 | -51 | ** | 797 | 266 | 787 | -2926 |
| 798 | 751 | 439 | 322 | ** | 799 | 389 | 767 | 867 | ** | 800 | 706 | 543 | 1177 | ** | 801 | 758 | 428 | 137 | ** | 802 | 642 | 631 | 729 | ** | 803 | 736 | 492 | -2117 |
| 804 | 157 | 802 | -1035 | ** | 817 | 126 | 816 | -359 | ** | 818 | 334 | 799 | 1329 | ** | 819 | 379 | 791 | -351 | ** | 820 | 182 | 817 | 919 | ** | 821 | 366 | 796 | 1429 |
| 822 | 776 | 445 | 2547 | ** | 823 | 704 | 593 | 246 | ** | 824 | 752 | 512 | -512 | ** | 825 | 242 | 818 | -295 | ** | 826 | 127 | 825 | -4032 | ** | 827 | 672 | 640 | 835 |
| 828 | 668 | 646 | -216 | ** | 829 | 312 | 814 | -1683 | ** | 830 | 264 | 821 | -405 | ** | 831 | 685 | 632 | 1098 | ** | 832 | 737 | 560 | -1185 | ** | 833 | 313 | 818 | 1808 |
| 834 | 755 | 531 | 3538 | ** | 835 | 161 | 833 | 57 | ** | 836 | 702 | 620 | 648 | ** | 837 | 307 | 823 | 43 | ** | 838 | 674 | 656 | -1968 | ** | 839 | 351 | 818 | 2736 |
| 841 | 764 | 530 | 2577 | ** | 840 | 739 | 574 | 1357 | ** | 842 | 322 | 826 | 1464 | ** | 843 | 695 | 641 | 11 | ** | 844 | 717 | 615 | 1396 | ** | 845 | 257 | 837 | 279 |
| 846 | 129 | 845 | -2078 | ** | 847 | 186 | 844 | -1017 | ** | 848 | 413 | 814 | 2051 | ** | 849 | 205 | 845 | -6201 | ** | 850 | 806 | 449 | -465 | ** | 851 | 777 | 528 | -334 |
| 852 | 235 | 846 | -3403 | ** | 853 | 816 | 426 | 3205 | ** | 854 | 187 | 851 | 1610 | ** | 855 | 705 | 650 | -1250 | ** | 856 | 130 | 855 | -1359 | ** | 857 | 801 | 487 | -911 |
| 858 | 741 | 608 | 3979 | ** | 859 | 719 | 640 | 820 | ** | 860 | 690 | 675 | 125 | ** | 861 | 747 | 605 | -467 | ** | 862 | 346 | 843 | 5085 | ** | 863 | 237 | 857 | 801 |
| 864 | 426 | 828 | 216 | ** | 865 | 281 | 855 | 209 | ** | 866 | 131 | 865 | -820 | ** | 867 | 753 | 608 | 874 | ** | 868 | 208 | 864 | 576 | ** | 869 | 755 | 609 | -495 |
| 870 | 783 | 563 | 766 | ** | 871 | 757 | 610 | -2782 | ** | 872 | 712 | 671 | -991 | ** | 873 | 825 | 470 | -8 | ** | 874 | 166 | 872 | -1520 | ** | 875 | 387 | 849 | 1223 |
| 876 | 132 | 875 | -467 | ** | 877 | 835 | 452 | -2150 | ** | 878 | 785 | 578 | -1025 | ** | 879 | 814 | 519 | -64 | ** | 880 | 757 | 628 | 755 | ** | 881 | 345 | 863 | -1431 |
| 882 | 167 | 880 | -495 | ** | 883 | 294 | 872 | -1645 | ** | 884 | 754 | 640 | 2040 | ** | 885 | 776 | 609 | -980 | ** | 886 | 133 | 885 | -306 | ** | 887 | 707 | 701 | -1241 |
| 888 | 286 | 878 | -2736 | ** | 889 | 783 | 606 | 1666 | ** | 890 | 802 | 574 | 168 | ** | 891 | 798 | 584 | 1675 | ** | 892 | 296 | 881 | 111 | ** | 893 | 335 | 877 | 449 |
| 894 | 436 | 858 | 6416 | ** | 895 | 388 | 870 | 3303 | ** | 896 | 134 | 895 | -343 | ** | 897 | 737 | 685 | -405 | ** | 898 | 343 | 881 | -656 | ** | 899 | 860 | 449 | -2150 |
| 900 | 438 | 864 | -216 | ** | 901 | 298 | 890 | 109 | ** | 902 | 289 | 892 | 951 | ** | 903 | 454 | 863 | 2016 | ** | 904 | 566 | 823 | 1 | ** | 905 | 630 | 789 | 1556 |
| 906 | 135 | 905 | -584 | ** | 907 | 245 | 901 | 3817 | ** | 908 | 420 | 877 | -821 | ** | 909 | 231 | 904 | -226 | ** | 910 | 460 | 869 | 91 | ** | 911 | 281 | 902 | -818 |
| 912 | 398 | 886 | -720 | ** | 913 | 450 | 875 | 1622 | ** | 914 | 171 | 912 | 1205 | ** | 915 | 553 | 842 | 810 | ** | 916 | 292 | 906 | 792 | ** | 917 | 136 | 916 | 4461 |
| 918 | 666 | 782 | 568 | ** | 919 | 490 | 870 | -441 | ** | 920 | 548 | 850 | -3592 | ** | 921 | 703 | 757 | 2941 | ** | 922 | 433 | 889 | -658 | ** | 923 | 197 | 920 | -2906 |
| 924 | 425 | 893 | 1442 | ** | 925 | 489 | 877 | -3177 | ** | 926 | 430 | 894 | -1208 | ** | 927 | 576 | 846 | -729 | ** | 928 | 387 | 905 | 524 | ** | 929 | 403 | 903 | -65 |
| 930 | 173 | 928 | 531 | ** | 931 | 646 | 813 | 558 | ** | 932 | 330 | 918 | -64 | ** | 933 | 712 | 767 | 4446 | ** | 934 | 419 | 905 | 2820 | ** | 935 | 733 | 751 | 2787 |
| 936 | 483 | 891 | -702 | ** | 937 | 605 | 844 | 244 | ** | 938 | 174 | 936 | -208 | ** | 939 | 538 | 876 | -6229 | ** | 940 | 373 | 920 | 883 | ** | 941 | 498 | 892 | -659 |
| 942 | 340 | 927 | -5095 | ** | 943 | 523 | 886 | -316 | ** | 944 | 220 | 940 | 384 | ** | 945 | 348 | 929 | -656 | ** | 946 | 527 | 888 | 281 | ** | 947 | 139 | 946 | 1968 |
| 948 | 522 | 892 | 2456 | ** | 949 | 462 | 911 | 1190 | ** | 950 | 289 | 941 | -190 | ** | 951 | 568 | 878 | -1233 | ** | 952 | 463 | 914 | -3383 | ** | 953 | 434 | 922 | -775 |
| 954 | 592 | 871 | -335 | ** | 955 | 377 | 935 | 867 | ** | 956 | 550 | 891 | -155 | ** | 957 | 140 | 956 | 677 | ** | 958 | 457 | 922 | -3529 | ** | 959 | 750 | 772 | -569 |
| 960 | 320 | 948 | -3392 | ** | 961 | 359 | 944 | 3018 | ** | 962 | 555 | 896 | 117 | ** | 963 | 418 | 936 | -4141 | ** | 964 | 701 | 820 | 1243 | ** | 965 | 360 | 948 | 4733 |
| 966 | 668 | 845 | -61 | ** | 967 | 141 | 966 | -854 | ** | 968 | 434 | 938 | -944 | ** | 969 | 322 | 957 | -532 | ** | 970 | 583 | 894 | 729 | ** | 971 | 733 | 805 | 5649 |
| 972 | 701 | 831 | 1756 | ** | 973 | 516 | 922 | 1773 | ** | 974 | 458 | 939 | 2493 | ** | 975 | 332 | 962 | -12121 | ** | 976 | 663 | 861 | 2548 | ** | 977 | 271 | 970 | -678 |
| 978 | 324 | 966 | 432 | ** | 979 | 772 | 782 | 2323 | ** | 980 | 205 | 977 | 2042 | ** | 981 | 284 | 973 | 2520 | ** | 982 | 659 | 871 | -1322 | ** | 983 | 742 | 815 | 224 |
| 984 | 622 | 893 | 99 | ** | 985 | 365 | 968 | 5268 | ** | 986 | 726 | 832 | -2288 | ** | 987 | 326 | 975 | -548 | ** | 988 | 317 | 977 | 426 | ** | 989 | 525 | 937 | 1591 |
| 990 | 668 | 876 | -8 | ** | 991 | 750 | 820 | -729 | ** | 992 | 352 | 977 | 2447 | ** | 993 | 367 | 976 | 1618 | ** | 994 | 496 | 951 | -1503 | ** | 995 | 514 | 947 | 8 |
| 996 | 540 | 940 | -64 | ** | 997 | 368 | 980 | -1059 | ** | 998 | 361 | 982 | -57 | ** | 999 | 689 | 875 | -1645 | ** | 1000 | 453 | 968 | 1091 | ** | 1001 | 487 | 961 | -1983 |
| 1002 | 762 | 826 | 1304 | ** | 1003 | 735 | 849 | 1603 | ** | 1004 | 546 | 947 | -1395 | ** | 1005 | 534 | 952 | 413 | ** | 1006 | 612 | 924 | -1736 | ** | 1007 | 630 | 917 | 5130 |
| 1008 | 497 | 966 | 343 | ** | 1009 | 774 | 826 | -1071 | ** | 1010 | 791 | 812 | 1 | ** | 1011 | 751 | 848 | -612 | ** | 1012 | 513 | 966 | -665 | ** | 1013 | 466 | 979 | 762 |
| 1014 | 771 | 836 | -323 | ** | 1015 | 471 | 980 | -736 | ** | 1016 | 694 | 894 | -272 | ** | 1017 | 249 | 1012 | -64 | ** | 1018 | 146 | 1017 | -6217 | ** | 1019 | 146 | 1018 | -109 |
| 1020 | 184 | 1018 | 664 | ** | 1021 | 381 | 1003 | -1107 | ** | 1022 | 753 | 862 | 943 | ** | 1023 | 211 | 1020 | -2764 | ** | 1024 | 654 | 926 | -7216 | ** | 1025 | 382 | 1007 | 314 |
| 1026 | 780 | 846 | -2160 | ** | 1027 | 586 | 959 | 2548 | ** | 1028 | 185 | 1026 | -3249 | ** | 1029 | 383 | 1011 | 1171 | ** | 1030 | 421 | 1006 | 323 | ** | 1031 | 763 | 867 | 3481 |
| 1032 | 810 | 828 | 216 | ** | 1033 | 294 | 1025 | 128 | ** | 1034 | 468 | 1001 | 1071 | ** | 1035 | 398 | 1015 | -5292 | ** | 1036 | 807 | 837 | 460 | ** | 1037 | 385 | 1019 | 1169 |
| 1038 | 606 | 964 | 512 | ** | 1039 | 440 | 1012 | 4591 | ** | 1040 | 148 | 1039 | -111 | ** | 1041 | 386 | 1023 | 298 | ** | 1042 | 235 | 1038 | 1341 | ** | 1043 | 772 | 877 | 726 |
| 1044 | 419 | 1021 | 864 | ** | 1045 | 214 | 1042 | -307 | ** | 1046 | 348 | 1033 | -1793 | ** | 1047 | 365 | 1032 | -1070 | ** | 1048 | 556 | 993 | -3681 | ** | 1049 | 646 | 960 | -1487 |
| 1050 | 511 | 1008 | -343 | ** | 1051 | 149 | 1050 | 2702 | ** | 1052 | 374 | 1036 | 4328 | ** | 1053 | 444 | 1026 | 1917 | ** | 1054 | 545 | 1003 | -188 | ** | 1055 | 350 | 1042 | 287 |
| 1056 | 589 | 991 | 4876 | ** | 1057 | 656 | 965 | -348 | ** | 1058 | 440 | 1032 | -1656 | ** | 1059 | 617 | 984 | -638 | ** | 1060 | 311 | 1051 | 118 | ** | 1061 | 150 | 1060 | -1019 |
| 1062 | 238 | 1058 | 1944 | ** | 1063 | 583 | 1001 | -1241 | ** | 1064 | 352 | 1051 | 285 | ** | 1065 | 726 | 938 | -1223 | ** | 1066 | 802 | 886 | -568 | ** | 1067 | 217 | 1064 | -694 |
| 1068 | 483 | 1034 | 541 | ** | 1069 | 239 | 1065 | 9965 | ** | 1070 | 407 | 1050 | -1143 | ** | 1071 | 614 | 999 | 2368 | ** | 1072 | 736 | 941 | -629 | ** | 1073 | 354 | 1060 | -1847 |
| 1074 | 345 | 1062 | -729 | ** | 1075 | 839 | 867 | -7207 | ** | 1076 | 699 | 967 | 3814 | ** | 1077 | 611 | 1007 | -2941 | ** | 1078 | 747 | 942 | -3059 | ** | 1079 | 191 | 1077 | 4635 |
| 1080 | 695 | 974 | -799 | ** | 1081 | 837 | 878 | 2036 | ** | 1082 | 241 | 1078 | -705 | ** | 1083 | 365 | 1069 | 153 | ** | 1084 | 672 | 990 | -2744 | ** | 1085 | 260 | 1080 | 1125 |
| 1086 | 502 | 1049 | -2601 | ** | 1087 | 592 | 1025 | 190 | ** | 1088 | 348 | 1076 | 2304 | ** | 1089 | 649 | 1006 | 304 | ** | 1090 | 375 | 1075 | -2250 | ** | 1091 | 419 | 1070 | -6488 |
| 1092 | 841 | 891 | -604 | ** | 1093 | 606 | 1027 | -342 | ** | 1094 | 841 | 894 | -1721 | ** | 1095 | 634 | 1019 | 2412 | ** | 1096 | 482 | 1064 | 2424 | ** | 1097 | 501 | 1061 | -1809 |
| 1098 | 293 | 1091 | 2864 | ** | 1099 | 776 | 951 | -628 | ** | 1100 | 636 | 1024 | -1280 | ** | 1101 | 319 | 1092 | 854 | ** | 1102 | 307 | 1094 | 181 | ** | 1103 | 544 | 1057 | -1650 |
| 1104 | 512 | 1066 | -360 | ** | 1105 | 154 | 1104 | 7497 | ** | 1106 | 656 | 1023 | -567 | ** | 1107 | 786 | 955 | 512 | ** | 1108 | 465 | 1080 | -4913 | ** | 1109 | 245 | 1105 | -721 |
| 1110 | 264 | 1105 | -1369 | ** | 1111 | 531 | 1069 | -2169 | ** | 1112 | 579 | 1057 | 196 | ** | 1113 | 576 | 1059 | -1458 | ** | 1114 | 536 | 1071 | -2023 | ** | 1115 | 155 | 1114 | 2456 |
| 1116 | 816 | 946 | -136 | ** | 1117 | 879 | 894 | 190 | ** | 1118 | 796 | 963 | 349 | ** | 1119 | 224 | 1116 | -161 | ** | 1120 | 669 | 1034 | 2387 | ** | 1121 | 345 | 1110 | -64 |
| 1122 | 617 | 1056 | -881 | ** | 1123 | 490 | 1091 | 2296 | ** | 1124 | 868 | 915 | 1717 | ** | 1125 | 839 | 941 | 785 | ** | 1126 | 641 | 1052 | 1047 | ** | 1127 | 894 | 895 | 1024 |
| 1128 | 829 | 953 | 3186 | ** | 1129 | 267 | 1124 | 902 | ** | 1130 | 878 | 915 | -27 | ** | 1131 | 846 | 944 | 2971 | ** | 1132 | 376 | 1118 | -440 | ** | 1133 | 704 | 1034 | -1331 |
| 1134 | 226 | 1131 | -163 | ** | 1135 | 687 | 1044 | -512 | ** | 1136 | 157 | 1135 | -1812 | ** | 1137 | 755 | 1013 | 281 | ** | 1138 | 386 | 1123 | -251 | ** | 1139 | 198 | 1137 | 7874 |
| 1140 | 495 | 1108 | 4913 | ** | 1141 | 378 | 1127 | 686 | ** | 1142 | 831 | 971 | 486 | ** | 1143 | 286 | 1137 | -802 | ** | 1144 | 674 | 1060 | -4040 | ** | 1145 | 707 | 1047 | -441 |
| 1146 | 864 | 951 | 2241 | ** | 1147 | 800 | 999 | 524 | ** | 1148 | 270 | 1143 | -415 | ** | 1149 | 287 | 1143 | -161 | ** | 1150 | 380 | 1136 | -456 | ** | 1151 | 560 | 1105 | -2674 |
| 1152 | 568 | 1104 | 512 | ** | 1153 | 329 | 1144 | 3304 | ** | 1154 | 852 | 972 | 8 | ** | 1155 | 288 | 1149 | 54 | ** | 1156 | 200 | 1154 | 4152 | ** | 1157 | 605 | 1099 | -1531 |
| 1158 | 159 | 1157 | -260 | ** | 1159 | 704 | 1065 | -610 | ** | 1160 | 720 | 1059 | -379 | ** | 1161 | 289 | 1155 | -163 | ** | 1162 | 864 | 974 | 560 | ** | 1163 | 469 | 1137 | -2315 |
| 1164 | 834 | 999 | 2241 | ** | 1165 | 739 | 1056 | 90 | ** | 1166 | 861 | 982 | -1253 | ** | 1167 | 319 | 1159 | 25 | ** | 1168 | 518 | 1133 | 2163 | ** | 1169 | 160 | 1168 | 177 |
| 1170 | 692 | 1083 | 325 | ** | 1171 | 410 | 1154 | 1947 | ** | 1172 | 607 | 1115 | -3970 | ** | 1173 | 366 | 1161 | 540 | ** | 1174 | 842 | 1007 | 993 | ** | 1175 | 345 | 1165 | 3625 |
| 1176 | 454 | 1153 | -5465 | ** | 1177 | 810 | 1032 | -13535 | ** | 1178 | 521 | 1143 | -216 | ** | 1179 | 846 | 1011 | -1728 | ** | 1180 | 161 | 1179 | 380 | ** | 1181 | 865 | 1000 | -1884 |
| 1182 | 926 | 950 | 2792 | ** | 1183 | 918 | 959 | 776 | ** | 1184 | 590 | 1133 | -1133 | ** | 1185 | 756 | 1072 | 161 | ** | 1186 | 542 | 1147 | -755 | ** | 1187 | 233 | 1184 | -638 |
| 1188 | 509 | 1156 | 27 | ** | 1189 | 323 | 1181 | 3261 | ** | 1190 | 899 | 986 | 1045 | ** | 1191 | 162 | 1190 | 343 | ** | 1192 | 814 | 1049 | -3905 | ** | 1193 | 553 | 1152 | -128 |
| 1194 | 787 | 1067 | -1782 | ** | 1195 | 807 | 1057 | -261 | ** | 1196 | 612 | 1140 | 12608 | ** | 1197 | 371 | 1185 | 937 | ** | 1198 | 718 | 1105 | -4465 | ** | 1199 | 205 | 1197 | -3899 |
| 1200 | 584 | 1152 | -512 | ** | 1201 | 624 | 1142 | -2311 | ** | 1202 | 163 | 1201 | 60 | ** | 1203 | 926 | 982 | 3483 | ** | 1204 | 945 | 966 | 343 | ** | 1205 | 906 | 1002 | 701 |
| 1206 | 312 | 1199 | -5111 | ** | 1207 | 702 | 1122 | 487 | ** | 1208 | 206 | 1206 | -720 | ** | 1209 | 402 | 1194 | -1863 | ** | 1210 | 236 | 1207 | 1 | ** | 1211 | 327 | 1203 | -1279 |
| 1212 | 768 | 1099 | 1997 | ** | 1213 | 164 | 1212 | -475 | ** | 1214 | 809 | 1080 | 1215 | ** | 1215 | 585 | 1168 | -1882 | ** | 1216 | 652 | 1150 | 2888 | ** | 1217 | 805 | 1086 | 1132 |
| 1218 | 404 | 1203 | 541 | ** | 1219 | 963 | 972 | 64 | ** | 1220 | 557 | 1180 | 7307 | ** | 1221 | 879 | 1045 | -703 | ** | 1222 | 524 | 1189 | 955 | ** | 1223 | 479 | 1198 | -64 |
| 1224 | 165 | 1223 | -1268 | ** | 1225 | 823 | 1086 | -198 | ** | 1226 | 377 | 1214 | 199 | ** | 1227 | 406 | 1212 | 539 | ** | 1228 | 843 | 1078 | 693 | ** | 1229 | 627 | 1172 | -342 |
| 1230 | 447 | 1210 | -8623 | ** | 1231 | 424 | 1214 | -3977 | ** | 1232 | 696 | 1153 | -2945 | ** | 1233 | 239 | 1230 | -2582 | ** | 1234 | 649 | 1171 | -1756 | ** | 1235 | 166 | 1234 | -2325 |
| 1236 | 768 | 1128 | -1728 | ** | 1237 | 803 | 1112 | 498 | ** | 1238 | 518 | 1207 | 4697 | ** | 1239 | 332 | 1231 | 11160 | ** | 1240 | 302 | 1234 | -512 | ** | 1241 | 318 | 1234 | 2185 |
| 1242 | 484 | 1217 | -729 | ** | 1243 | 689 | 1168 | -494 | ** | 1244 | 582 | 1200 | -2584 | ** | 1245 | 675 | 1175 | -125 | ** | 1246 | 167 | 1245 | -3652 | ** | 1247 | 615 | 1195 | -2027 |
| 1248 | 644 | 1188 | -1664 | ** | 1249 | 608 | 1199 | 1938 | ** | 1250 | 334 | 1242 | 808 | ** | 1251 | 817 | 1122 | 9890 | ** | 1252 | 499 | 1225 | -2116 | ** | 1253 | 681 | 1182 | -532 |
| 1254 | 930 | 1053 | 2187 | ** | 1255 | 962 | 1028 | 5295 | ** | 1256 | 539 | 1222 | 1349 | ** | 1257 | 168 | 1256 | -5255 | ** | 1258 | 168 | 1257 | 2287 | ** | 1259 | 797 | 1142 | 118 |
| 1260 | 404 | 1246 | 1800 | ** | 1261 | 212 | 1259 | -2526 | ** | 1262 | 844 | 1121 | 10583 | ** | 1263 | 784 | 1153 | -434 | ** | 1264 | 605 | 1216 | -3077 | ** | 1265 | 385 | 1253 | -3277 |
| 1266 | 939 | 1063 | -3970 | ** | 1267 | 841 | 1129 | 8153 | ** | 1268 | 885 | 1104 | -6157 | ** | 1269 | 169 | 1268 | 468 | ** | 1270 | 865 | 1119 | 216 | ** | 1271 | 289 | 1266 | -1154 |
| 1272 | 244 | 1269 | 755 | ** | 1273 | 364 | 1263 | 6426 | ** | 1274 | 407 | 1260 | 3681 | ** | 1275 | 583 | 1233 | 251 | ** | 1276 | 836 | 1143 | 4313 | ** | 1277 | 1006 | 1021 | 456 |
| 1278 | 976 | 1050 | -2224 | ** | 1279 | 214 | 1277 | -638 | ** | 1280 | 170 | 1279 | -1639 | ** | 1281 | 170 | 1280 | 6041 | ** | 1282 | 594 | 1238 | -88 | ** | 1283 | 894 | 1118 | 171 |
| 1284 | 646 | 1227 | 4085 | ** | 1285 | 733 | 1200 | -8712 | ** | 1286 | 871 | 1136 | 1889 | ** | 1287 | 803 | 1173 | 559 | ** | 1288 | 410 | 1274 | 48 | ** | 1289 | 806 | 1174 | -2071 |
| 1290 | 554 | 1255 | 1161 | ** | 1291 | 841 | 1159 | -829 | ** | 1292 | 462 | 1272 | 2312 | ** | 1293 | 638 | 1239 | -8234 | ** | 1294 | 1020 | 1034 | 4880 | ** | 1295 | 430 | 1279 | -264 |
| 1296 | 639 | 1242 | 729 | ** | 1297 | 216 | 1295 | 2 | ** | 1298 | 632 | 1246 | 4688 | ** | 1299 | 884 | 1145 | 3170 | ** | 1300 | 604 | 1255 | -5239 | ** | 1301 | 633 | 1249 | -3485 |
| 1302 | 312 | 1296 | 1944 | ** | 1303 | 766 | 1208 | -881 | ** | 1304 | 432 | 1288 | 1024 | ** | 1305 | 681 | 1240 | 2384 | ** | 1306 | 217 | 1304 | -161 | ** | 1307 | 675 | 1244 | -216 |
| 1308 | 763 | 1215 | 1790 | ** | 1309 | 947 | 1117 | -107 | ** | 1310 | 495 | 1286 | 21969 | ** | 1311 | 1034 | 1047 | 5104 | ** | 1312 | 459 | 1293 | -8 | ** | 1313 | 434 | 1297 | -280 |
| 1314 | 173 | 1313 | -1870 | ** | 1315 | 218 | 1313 | -654 | ** | 1316 | 634 | 1265 | -2233 | ** | 1317 | 847 | 1188 | -82 | ** | 1318 | 754 | 1230 | 1368 | ** | 1319 | 504 | 1294 | 511 |
| 1320 | 790 | 1218 | -3232 | ** | 1321 | 673 | 1260 | 1944 | ** | 1322 | 436 | 1306 | -4224 | ** | 1323 | 477 | 1302 | -1674 | ** | 1324 | 569 | 1288 | 343 | ** | 1325 | 174 | 1324 | -5123 |
| 1326 | 664 | 1268 | -1800 | ** | 1327 | 251 | 1324 | -692 | ** | 1328 | 891 | 1178 | -171 | ** | 1329 | 761 | 1240 | -792 | ** | 1330 | 362 | 1321 | -89 | ** | 1331 | 409 | 1318 | 330 |
| 1332 | 1013 | 1098 | 3979 | ** | 1333 | 220 | 1331 | -2654 | ** | 1334 | 577 | 1297 | 2598 | ** | 1335 | 861 | 1203 | 567 | ** | 1336 | 727 | 1260 | 4473 | ** | 1337 | 175 | 1336 | -678 |
| 1338 | 473 | 1318 | -6777 | ** | 1339 | 598 | 1298 | -1565 | ** | 1340 | 278 | 1336 | -2008 | ** | 1341 | 364 | 1332 | -91 | ** | 1342 | 221 | 1340 | -4173 | ** | 1343 | 253 | 1340 | 2330 |
| 1344 | 1010 | 1118 | -448 | ** | 1345 | 948 | 1165 | 108 | ** | 1346 | 432 | 1331 | 477 | ** | 1347 | 878 | 1209 | 442 | ** | 1348 | 921 | 1186 | 3375 | ** | 1349 | 176 | 1348 | 3581 |
| 1350 | 641 | 1300 | 279 | ** | 1351 | 254 | 1348 | 3295 | ** | 1352 | 484 | 1331 | -1387 | ** | 1353 | 550 | 1322 | 729 | ** | 1354 | 1061 | 1088 | 6411 | ** | 1355 | 787 | 1260 | -5528 |
| 1356 | 795 | 1258 | 629 | ** | 1357 | 922 | 1197 | -3528 | ** | 1358 | 584 | 1321 | -1153 | ** | 1359 | 941 | 1188 | -3014 | ** | 1360 | 177 | 1359 | -512 | ** | 1361 | 614 | 1318 | 3905 |
| 1362 | 515 | 1337 | -700 | ** | 1363 | 891 | 1222 | -1872 | ** | 1364 | 624 | 1319 | 1161 | ** | 1365 | 1030 | 1132 | 3157 | ** | 1366 | 706 | 1300 | 80 | ** | 1367 | 696 | 1304 | 1863 |
| 1368 | 1068 | 1103 | 1873 | ** | 1369 | 282 | 1365 | -1484 | ** | 1370 | 639 | 1322 | -2367 | ** | 1371 | 635 | 1324 | -288 | ** | 1372 | 456 | 1355 | -1843 | ** | 1373 | 870 | 1245 | -2008 |
| 1374 | 438 | 1359 | 2673 | ** | 1375 | 795 | 1280 | -2500 | ** | 1376 | 1080 | 1104 | 512 | ** | 1377 | 999 | 1173 | 1917 | ** | 1378 | 650 | 1328 | -2400 | ** | 1379 | 225 | 1377 | 2681 |
| 1380 | 781 | 1291 | 7288 | ** | 1381 | 458 | 1364 | 885 | ** | 1382 | 892 | 1245 | 1555 | ** | 1383 | 179 | 1382 | -1420 | ** | 1384 | 1075 | 1121 | -332 | ** | 1385 | 1036 | 1156 | 2553 |
| 1386 | 850 | 1270 | -7544 | ** | 1387 | 969 | 1207 | -2349 | ** | 1388 | 226 | 1386 | -560 | ** | 1389 | 645 | 1341 | -4077 | ** | 1390 | 460 | 1373 | 883 | ** | 1391 | 259 | 1388 | 2420 |
| 1392 | 599 | 1354 | -3375 | ** | 1393 | 772 | 1309 | -820 | ** | 1394 | 180 | 1393 | -6473 | ** | 1395 | 795 | 1303 | -127 | ** | 1396 | 908 | 1254 | -1240 | ** | 1397 | 562 | 1366 | -2451 |
| 1398 | 495 | 1377 | -216 | ** | 1399 | 780 | 1313 | 902 | ** | 1400 | 1083 | 1138 | 1141 | ** | 1401 | 1070 | 1151 | -4750 | ** | 1402 | 375 | 1393 | -3024 | ** | 1403 | 915 | 1259 | -27 |
| 1404 | 979 | 1223 | -3042 | ** | 1405 | 309 | 1400 | 1496 | ** | 1406 | 489 | 1386 | 791 | ** | 1407 | 261 | 1404 | -702 | ** | 1408 | 346 | 1401 | 3375 | ** | 1409 | 754 | 1333 | 6828 |
| 1410 | 362 | 1402 | 6264 | ** | 1411 | 842 | 1303 | -3284 | ** | 1412 | 506 | 1390 | -6688 | ** | 1413 | 1079 | 1161 | -323 | ** | 1414 | 347 | 1407 | -2122 | ** | 1415 | 415 | 1403 | -2827 |
| 1416 | 330 | 1410 | 1296 | ** | 1417 | 631 | 1374 | -2502 | ** | 1418 | 182 | 1417 | -649 | ** | 1419 | 617 | 1379 | -4993 | ** | 1420 | 899 | 1288 | -4571 | ** | 1421 | 956 | 1259 | 1666 |
| 1422 | 392 | 1412 | 632 | ** | 1423 | 1096 | 1161 | 4950 | ** | 1424 | 966 | 1257 | 2735 | ** | 1425 | 230 | 1423 | -342 | ** | 1426 | 614 | 1387 | -6371 | ** | 1427 | 634 | 1384 | 10275 |
| 1428 | 290 | 1424 | 12728 | ** | 1429 | 923 | 1287 | -781 | ** | 1430 | 183 | 1429 | 1924 | ** | 1431 | 910 | 1296 | -7345 | ** | 1432 | 460 | 1416 | -1728 | ** | 1433 | 487 | 1414 | 2490 |
| 1434 | 231 | 1432 | -5455 | ** | 1435 | 291 | 1431 | -287 | ** | 1436 | 441 | 1422 | 287 | ** | 1437 | 1115 | 1165 | -2547 | ** | 1438 | 971 | 1272 | -14587 | ** | 1439 | 520 | 1416 | 223 |
| 1440 | 710 | 1380 | 1000 | ** | 1441 | 597 | 1406 | 1532 | ** | 1442 | 896 | 1316 | -2744 | ** | 1443 | 232 | 1441 | -10982 | ** | 1444 | 232 | 1442 | 6328 | ** | 1445 | 368 | 1437 | -360 |
| 1446 | 315 | 1441 | -460 | ** | 1447 | 383 | 1438 | 64 | ** | 1448 | 705 | 1390 | 5767 | ** | 1449 | 872 | 1335 | -3374 | ** | 1450 | 1130 | 1171 | 4789 | ** | 1451 | 856 | 1344 | -749 |
| 1452 | 911 | 1321 | 216 | ** | 1453 | 233 | 1451 | 489 | ** | 1454 | 531 | 1430 | -3627 | ** | 1455 | 492 | 1436 | 6031 | ** | 1456 | 423 | 1444 | 3465 | ** | 1457 | 572 | 1427 | 262 |
| 1458 | 484 | 1440 | 8 | ** | 1459 | 742 | 1392 | -1197 | ** | 1460 | 676 | 1410 | -776 | ** | 1461 | 877 | 1347 | 125 | ** | 1462 | 502 | 1442 | -5768 | ** | 1463 | 355 | 1456 | -5844 |
| 1464 | 268 | 1461 | 1331 | ** | 1465 | 186 | 1464 | -575 | ** | 1466 | 1036 | 1268 | 7208 | ** | 1467 | 486 | 1449 | 1458 | ** | 1468 | 987 | 1301 | -3472 | ** | 1469 | 912 | 1341 | -640 |
| 1470 | 1035 | 1274 | 6301 | ** | 1471 | 1043 | 1270 | 604 | ** | 1472 | 296 | 1468 | -3520 | ** | 1473 | 1091 | 1238 | 974 | ** | 1474 | 469 | 1458 | -1197 | ** | 1475 | 1004 | 1300 | -1189 |
| 1476 | 488 | 1458 | -8 | ** | 1477 | 187 | 1476 | 954 | ** | 1478 | 810 | 1392 | -1936 | ** | 1479 | 522 | 1457 | -2402 | ** | 1480 | 450 | 1466 | 4304 | ** | 1481 | 930 | 1347 | 1718 |
| 1482 | 1027 | 1295 | -1890 | ** | 1483 | 851 | 1383 | 1649 | ** | 1484 | 768 | 1412 | -3456 | ** | 1485 | 1002 | 1314 | -27 | ** | 1486 | 733 | 1424 | -6605 | ** | 1487 | 298 | 1483 | -876 |
| 1488 | 1059 | 1282 | 125 | ** | 1489 | 1141 | 1220 | -1052 | ** | 1490 | 843 | 1394 | 909 | ** | 1491 | 568 | 1463 | 3492 | ** | 1492 | 1081 | 1272 | -2601 | ** | 1493 | 405 | 1483 | -5555 |
| 1494 | 810 | 1410 | -216 | ** | 1495 | 758 | 1427 | 1380 | ** | 1496 | 928 | 1366 | -2712 | ** | 1497 | 272 | 1494 | 5041 | ** | 1498 | 783 | 1423 | -4662 | ** | 1499 | 878 | 1391 | -1124 |
| 1500 | 238 | 1498 | 736 | ** | 1501 | 596 | 1469 | 1056 | ** | 1502 | 300 | 1498 | 16 | ** | 1503 | 1107 | 1268 | -2348 | ** | 1504 | 1023 | 1326 | -1079 | ** | 1505 | 273 | 1502 | -1800 |
| 1506 | 919 | 1382 | -4311 | ** | 1507 | 476 | 1491 | 6896 | ** | 1508 | 850 | 1412 | -3016 | ** | 1509 | 927 | 1382 | 2278 | ** | 1510 | 949 | 1373 | -1466 | ** | 1511 | 190 | 1510 | -14169 |
| 1512 | 980 | 1360 | 1728 | ** | 1513 | 190 | 1512 | 3969 | ** | 1514 | 190 | 1513 | 13047 | ** | 1515 | 1116 | 1278 | 27 | ** | 1516 | 380 | 1508 | -4416 | ** | 1517 | 302 | 1513 | -892 |
| 1518 | 728 | 1460 | -520 | ** | 1519 | 240 | 1517 | 1946 | ** | 1520 | 346 | 1514 | 1520 | ** | 1521 | 1012 | 1354 | 169 | ** | 1522 | 381 | 1514 | -2437 | ** | 1523 | 944 | 1391 | -9188 |
| 1524 | 1041 | 1341 | -918 | ** | 1525 | 982 | 1375 | 2582 | ** | 1526 | 932 | 1400 | 2008 | ** | 1527 | 1125 | 1288 | 2186 | ** | 1528 | 382 | 1520 | -1016 | ** | 1529 | 1035 | 1351 | -5537 |
| 1530 | 276 | 1527 | 2241 | ** | 1531 | 604 | 1499 | 928 | ** | 1532 | 518 | 1512 | -792 | ** | 1533 | 1042 | 1352 | -5859 | ** | 1534 | 383 | 1526 | -159 | ** | 1535 | 623 | 1500 | 1008 |
| 1536 | 1173 | 1262 | -2789 | ** | 1537 | 192 | 1536 | 4609 | ** | 1538 | 242 | 1536 | 1728 | ** | 1539 | 1219 | 1224 | -64 | ** | 1540 | 384 | 1532 | 128 | ** | 1541 | 473 | 1526 | 28 |
| 1542 | 802 | 1466 | -216 | ** | 1543 | 855 | 1450 | -1368 | ** | 1544 | 368 | 1537 | -1 | ** | 1545 | 960 | 1410 | -3375 | ** | 1546 | 385 | 1538 | -161 | ** | 1547 | 1108 | 1328 | 3059 |
| 1548 | 1215 | 1242 | 729 | ** | 1549 | 717 | 1496 | -1600 | ** | 1550 | 921 | 1433 | -4698 | ** | 1551 | 1225 | 1237 | 2473 | ** | 1552 | 386 | 1544 | -1032 | ** | 1553 | 514 | 1534 | 1329 |
| 1554 | 999 | 1402 | -343 | ** | 1555 | 563 | 1530 | -1672 | ** | 1556 | 836 | 1471 | 449 | ** | 1557 | 244 | 1555 | 34 | ** | 1558 | 387 | 1550 | -2491 | ** | 1559 | 733 | 1503 | -3485 |
| 1560 | 443 | 1548 | -899 | ** | 1561 | 194 | 1560 | 4097 | ** | 1562 | 516 | 1543 | -1775 | ** | 1563 | 1152 | 1318 | 7307 | ** | 1564 | 747 | 1505 | -1204 | ** | 1565 | 637 | 1529 | 3383 |
| 1566 | 958 | 1436 | 1728 | ** | 1567 | 1124 | 1344 | 1055 | ** | 1568 | 632 | 1533 | 27 | ** | 1569 | 859 | 1478 | -4122 | ** | 1570 | 309 | 1566 | -125 | ** | 1571 | 1055 | 1393 | 5579 |
| 1572 | 816 | 1495 | 377 | ** | 1573 | 1073 | 1385 | 1875 | ** | 1574 | 433 | 1563 | 3940 | ** | 1575 | 1039 | 1407 | -4087 | ** | 1576 | 458 | 1563 | -1483 | ** | 1577 | 862 | 1486 | 3849 |
| 1578 | 920 | 1466 | 1856 | ** | 1579 | 689 | 1534 | 3466 | ** | 1580 | 282 | 1577 | -801 | ** | 1581 | 740 | 1525 | 3816 | ** | 1582 | 421 | 1572 | -10341 | ** | 1583 | 1050 | 1411 | 7756 |
| 1584 | 781 | 1518 | 1331 | ** | 1585 | 865 | 1494 | 216 | ** | 1586 | 696 | 1540 | 520 | ** | 1587 | 660 | 1548 | -5589 | ** | 1588 | 571 | 1563 | -486 | ** | 1589 | 655 | 1551 | 943 |
| 1590 | 548 | 1568 | -10024 | ** | 1591 | 896 | 1490 | -4065 | ** | 1592 | 1204 | 1318 | -408 | ** | 1593 | 312 | 1589 | 4060 | ** | 1594 | 557 | 1571 | -8520 | ** | 1595 | 1122 | 1383 | 3140 |
| 1596 | 878 | 1502 | 2576 | ** | 1597 | 197 | 1596 | 1064 | ** | 1598 | 1235 | 1300 | 6317 | ** | 1599 | 424 | 1589 | 306 | ** | 1600 | 1001 | 1457 | 6006 | ** | 1601 | 1254 | 1287 | 2834 |
| 1602 | 856 | 1516 | 1096 | ** | 1603 | 1104 | 1405 | 5238 | ** | 1604 | 1140 | 1383 | 3977 | ** | 1605 | 249 | 1603 | -1351 | ** | 1606 | 968 | 1479 | -11455 | ** | 1607 | 338 | 1602 | 1863 |
| 1608 | 411 | 1599 | -3618 | ** | 1609 | 198 | 1608 | -575 | ** | 1610 | 972 | 1482 | -1216 | ** | 1611 | 963 | 1487 | -2519 | ** | 1612 | 1235 | 1321 | 892 | ** | 1613 | 699 | 1568 | -1134 |
| 1614 | 339 | 1609 | -4204 | ** | 1615 | 1048 | 1452 | 3375 | ** | 1616 | 315 | 1612 | 4093 | ** | 1617 | 1089 | 1432 | -9424 | ** | 1618 | 756 | 1561 | -1665 | ** | 1619 | 836 | 1541 | -818 |
| 1620 | 571 | 1596 | 1853 | ** | 1621 | 538 | 1601 | 388 | ** | 1622 | 287 | 1619 | -5714 | ** | 1623 | 1136 | 1411 | -1620 | ** | 1624 | 564 | 1601 | 7679 | ** | 1625 | 858 | 1541 | 3492 |
| 1626 | 511 | 1609 | 16 | ** | 1627 | 698 | 1583 | -11796 | ** | 1628 | 1161 | 1401 | 4670 | ** | 1629 | 456 | 1617 | 10260 | ** | 1630 | 946 | 1516 | 368 | ** | 1631 | 747 | 1577 | 2835 |
| 1632 | 1004 | 1494 | -1880 | ** | 1633 | 430 | 1623 | 4770 | ** | 1634 | 252 | 1632 | -2872 | ** | 1635 | 948 | 1521 | 7722 | ** | 1636 | 999 | 1501 | -10044 | ** | 1637 | 400 | 1629 | 664 |
| 1638 | 1201 | 1386 | 2015 | ** | 1639 | 318 | 1635 | -188 | ** | 1640 | 551 | 1619 | 190 | ** | 1641 | 1172 | 1411 | -12258 | ** | 1642 | 961 | 1524 | -8217 | ** | 1643 | 946 | 1531 | -120 |
| 1644 | 1148 | 1431 | -1799 | ** | 1645 | 1228 | 1375 | -2602 | ** | 1646 | 859 | 1564 | 213 | ** | 1647 | 926 | 1543 | -5760 | ** | 1648 | 1024 | 1504 | -4096 | ** | 1649 | 951 | 1536 | -1558 |
| 1650 | 803 | 1584 | -1331 | ** | 1651 | 1142 | 1444 | 5779 | ** | 1652 | 385 | 1645 | 2058 | ** | 1653 | 684 | 1613 | 5176 | ** | 1654 | 745 | 1602 | 1431 | ** | 1655 | 419 | 1646 | -7820 |
| 1656 | 768 | 1599 | -1215 | ** | 1657 | 828 | 1585 | 216 | ** | 1658 | 202 | 1657 | -489 | ** | 1659 | 644 | 1626 | 1819 | ** | 1660 | 1310 | 1325 | 1875 | ** | 1661 | 420 | 1652 | -27 |
| 1662 | 625 | 1632 | 935 | ** | 1663 | 632 | 1632 | -2689 | ** | 1664 | 949 | 1554 | -6869 | ** | 1665 | 1002 | 1534 | 1313 | ** | 1666 | 626 | 1636 | 14464 | ** | 1667 | 368 | 1661 | 4150 |
| 1668 | 805 | 1603 | 6280 | ** | 1669 | 857 | 1590 | -484 | ** | 1670 | 322 | 1666 | 456 | ** | 1671 | 1276 | 1373 | 18 | ** | 1672 | 844 | 1597 | 1691 | ** | 1673 | 654 | 1639 | 1834 |
| 1674 | 614 | 1646 | 344 | ** | 1675 | 1040 | 1529 | -1014 | ** | 1676 | 747 | 1625 | -4572 | ** | 1677 | 752 | 1625 | 1100 | ** | 1678 | 867 | 1597 | 216 | ** | 1679 | 828 | 1609 | -3242 |
| 1680 | 407 | 1672 | -3591 | ** | 1681 | 1018 | 1546 | 7073 | ** | 1682 | 650 | 1649 | -881 | ** | 1683 | 257 | 1681 | 153 | ** | 1684 | 1249 | 1414 | -5689 | ** | 1685 | 513 | 1669 | -12881 |
| 1686 | 1282 | 1390 | 88 | ** | 1687 | 1043 | 1542 | 11108 | ** | 1688 | 467 | 1676 | 1333 | ** | 1689 | 1175 | 1473 | 577 | ** | 1690 | 1141 | 1495 | 404 | ** | 1691 | 1274 | 1404 | -3717 |
| 1692 | 659 | 1658 | -7603 | ** | 1693 | 938 | 1591 | -2186 | ** | 1694 | 372 | 1688 | -8136 | ** | 1695 | 455 | 1684 | -504 | ** | 1696 | 493 | 1682 | -8189 | ** | 1697 | 1323 | 1370 | -2394 |
| 1698 | 564 | 1677 | -1485 | ** | 1699 | 296 | 1696 | -773 | ** | 1700 | 719 | 1656 | -3375 | ** | 1701 | 482 | 1688 | 2261 | ** | 1702 | 1056 | 1554 | -2672 | ** | 1703 | 1013 | 1574 | -494 |
| 1704 | 547 | 1685 | 216 | ** | 1705 | 1125 | 1523 | 6833 | ** | 1706 | 1095 | 1540 | 7441 | ** | 1707 | 699 | 1667 | 181 | ** | 1708 | 849 | 1635 | 3988 | ** | 1709 | 327 | 1705 | 421 |
| 1710 | 1207 | 1480 | 2257 | ** | 1711 | 412 | 1703 | -2024 | ** | 1712 | 1283 | 1427 | 2458 | ** | 1713 | 728 | 1668 | -3887 | ** | 1714 | 974 | 1602 | -7288 | ** | 1715 | 1191 | 1497 | -469 |
| 1716 | 1035 | 1580 | -179 | ** | 1717 | 1184 | 1504 | -755 | ** | 1718 | 1280 | 1438 | 6560 | ** | 1719 | 1269 | 1448 | 2458 | ** | 1720 | 207 | 1719 | 298 | ** | 1721 | 207 | 1720 | 10618 |
| 1722 | 647 | 1691 | -3346 | ** | 1723 | 1306 | 1424 | 6427 | ** | 1724 | 1211 | 1496 | 2557 | ** | 1725 | 570 | 1704 | -1539 | ** | 1726 | 721 | 1683 | 828 | ** | 1727 | 627 | 1699 | 601 |
| 1728 | 852 | 1656 | 1728 | ** | 1729 | 1061 | 1584 | 8804 | ** | 1730 | 562 | 1710 | 1672 | ** | 1731 | 1278 | 1458 | 27 | ** | 1732 | 208 | 1731 | -4635 | ** | 1733 | 1117 | 1562 | -5104 |
| 1734 | 1087 | 1578 | -3151 | ** | 1735 | 887 | 1654 | 2008 | ** | 1736 | 1217 | 1508 | 2431 | ** | 1737 | 898 | 1653 | -316 | ** | 1738 | 1307 | 1445 | 1704 | ** | 1739 | 751 | 1691 | -703 |
| 1740 | 665 | 1707 | 4132 | ** | 1741 | 998 | 1624 | 1405 | ** | 1742 | 449 | 1732 | -3529 | ** | 1743 | 945 | 1645 | -343 | ** | 1744 | 357 | 1739 | -6928 | ** | 1745 | 209 | 1744 | 512 |
| 1746 | 940 | 1650 | -64 | ** | 1747 | 1375 | 1398 | -6444 | ** | 1748 | 990 | 1635 | -883 | ** | 1749 | 380 | 1743 | 1342 | ** | 1750 | 1272 | 1489 | 6183 | ** | 1751 | 465 | 1740 | -874 |
| 1752 | 264 | 1750 | -3736 | ** | 1753 | 567 | 1733 | 677 | ** | 1754 | 492 | 1741 | 1555 | ** | 1755 | 1296 | 1478 | -5813 | ** | 1756 | 333 | 1752 | -7829 | ** | 1757 | 210 | 1756 | -5123 |
| 1758 | 1038 | 1628 | -512 | ** | 1759 | 1327 | 1459 | -9883 | ** | 1760 | 1256 | 1514 | 6040 | ** | 1761 | 420 | 1753 | 1304 | ** | 1762 | 1398 | 1399 | 1737 | ** | 1763 | 1232 | 1534 | 1475 |
| 1764 | 334 | 1760 | -3960 | ** | 1765 | 613 | 1740 | 1728 | ** | 1766 | 1321 | 1474 | -489 | ** | 1767 | 1305 | 1488 | -9234 | ** | 1768 | 468 | 1757 | 8507 | ** | 1769 | 854 | 1700 | 3745 |
| 1770 | 495 | 1757 | 532 | ** | 1771 | 211 | 1770 | 10080 | ** | 1772 | 335 | 1768 | -559 | ** | 1773 | 1389 | 1425 | 9423 | ** | 1774 | 786 | 1721 | -3193 | ** | 1775 | 590 | 1753 | -4402 |
| 1776 | 1152 | 1597 | -10405 | ** | 1777 | 305 | 1774 | -1016 | ** | 1778 | 1104 | 1623 | -1279 | ** | 1779 | 949 | 1684 | 286 | ** | 1780 | 1148 | 1604 | 1344 | ** | 1781 | 362 | 1776 | 8037 |
| 1782 | 655 | 1752 | 1385 | ** | 1783 | 1275 | 1532 | 3044 | ** | 1784 | 592 | 1762 | 888 | ** | 1785 | 1049 | 1655 | 4601 | ** | 1786 | 1013 | 1670 | 3459 | ** | 1787 | 1352 | 1479 | -1044 |
| 1788 | 337 | 1784 | 4815 | ** | 1789 | 800 | 1734 | 17165 | ** | 1790 | 575 | 1770 | -3375 | ** | 1791 | 1085 | 1647 | 523 | ** | 1792 | 268 | 1790 | -2744 | ** | 1793 | 1186 | 1600 | 1401 |
| 1794 | 1370 | 1474 | -3240 | ** | 1795 | 546 | 1778 | 587 | ** | 1796 | 929 | 1709 | -2582 | ** | 1797 | 1406 | 1446 | -7379 | ** | 1798 | 898 | 1720 | -17200 | ** | 1799 | 706 | 1762 | 6855 |
| 1800 | 876 | 1728 | -1728 | ** | 1801 | 1238 | 1580 | 129 | ** | 1802 | 725 | 1762 | 755 | ** | 1803 | 365 | 1798 | -90 | ** | 1804 | 578 | 1784 | 7608 | ** | 1805 | 444 | 1796 | 405 |
| 1806 | 1055 | 1677 | -2492 | ** | 1807 | 1142 | 1640 | 5655 | ** | 1808 | 1132 | 1646 | 8 | ** | 1809 | 829 | 1749 | 2591 | ** | 1810 | 761 | 1764 | -1825 | ** | 1811 | 598 | 1789 | -4530 |
| 1812 | 570 | 1793 | 2071 | ** | 1813 | 722 | 1774 | -5075 | ** | 1814 | 1219 | 1608 | 6973 | ** | 1815 | 1102 | 1668 | -4465 | ** | 1816 | 1331 | 1537 | -2348 | ** | 1817 | 1123 | 1661 | -10135 |
| 1818 | 462 | 1808 | -1808 | ** | 1819 | 477 | 1808 | -1186 | ** | 1820 | 920 | 1738 | 728 | ** | 1821 | 1199 | 1628 | 1910 | ** | 1822 | 271 | 1820 | -6263 | ** | 1823 | 815 | 1767 | 729 |
| 1824 | 796 | 1772 | -5760 | ** | 1825 | 1421 | 1475 | 2289 | ** | 1826 | 1102 | 1681 | 10527 | ** | 1827 | 1179 | 1646 | 3808 | ** | 1828 | 342 | 1824 | 9640 | ** | 1829 | 857 | 1764 | -8748 |
| 1830 | 831 | 1771 | -6202 | ** | 1831 | 574 | 1812 | 639 | ** | 1832 | 1294 | 1585 | 5559 | ** | 1833 | 854 | 1769 | 1064 | ** | 1834 | 850 | 1771 | -307 | ** | 1835 | 413 | 1828 | -2674 |
| 1836 | 1293 | 1591 | -3772 | ** | 1837 | 1338 | 1561 | 15300 | ** | 1838 | 1303 | 1587 | -1658 | ** | 1839 | 735 | 1799 | 1945 | ** | 1840 | 370 | 1835 | -6875 | ** | 1841 | 1306 | 1589 | 6236 |
| 1842 | 521 | 1828 | 3375 | ** | 1843 | 1428 | 1496 | -2581 | ** | 1844 | 1309 | 1591 | 4884 | ** | 1845 | 1403 | 1521 | 4537 | ** | 1846 | 217 | 1845 | -702 | ** | 1847 | 534 | 1832 | -3249 |
| 1848 | 1077 | 1717 | -154 | ** | 1849 | 624 | 1825 | 1800 | ** | 1850 | 1163 | 1682 | 685 | ** | 1851 | 842 | 1791 | -6308 | ** | 1852 | 1033 | 1738 | -1 | ** | 1853 | 1331 | 1588 | 314 |
| 1854 | 1199 | 1669 | -1044 | ** | 1855 | 416 | 1848 | -2113 | ** | 1856 | 569 | 1838 | -2465 | ** | 1857 | 1384 | 1554 | -775 | ** | 1858 | 806 | 1806 | -520 | ** | 1859 | 218 | 1858 | 1835 |
| 1860 | 453 | 1851 | -1728 | ** | 1861 | 618 | 1838 | -1123 | ** | 1862 | 1292 | 1626 | 4464 | ** | 1863 | 275 | 1861 | 5391 | ** | 1864 | 660 | 1836 | -512 | ** | 1865 | 315 | 1862 | -2178 |
| 1866 | 1329 | 1607 | 64 | ** | 1867 | 1199 | 1685 | 3639 | ** | 1868 | 347 | 1864 | 1565 | ** | 1869 | 799 | 1819 | -749 | ** | 1870 | 903 | 1797 | 100 | ** | 1871 | 219 | 1870 | -7148 |
| 1872 | 923 | 1794 | 2197 | ** | 1873 | 900 | 1801 | 216 | ** | 1874 | 583 | 1855 | -1038 | ** | 1875 | 1103 | 1738 | -2124 | ** | 1876 | 348 | 1872 | -1664 | ** | 1877 | 1455 | 1523 | -909 |
| 1878 | 515 | 1865 | 7652 | ** | 1879 | 1145 | 1725 | -2311 | ** | 1880 | 679 | 1850 | 161 | ** | 1881 | 1168 | 1717 | -1604 | ** | 1882 | 1316 | 1637 | -3381 | ** | 1883 | 980 | 1790 | 1387 |
| 1884 | 1298 | 1651 | 2061 | ** | 1885 | 376 | 1880 | -251 | ** | 1886 | 1046 | 1772 | -2528 | ** | 1887 | 1409 | 1577 | 23141 | ** | 1888 | 624 | 1865 | -1177 | ** | 1889 | 1265 | 1677 | -1989 |
| 1890 | 1225 | 1700 | 3375 | ** | 1891 | 755 | 1850 | -2904 | ** | 1892 | 1351 | 1627 | -1146 | ** | 1893 | 1416 | 1580 | -2339 | ** | 1894 | 1409 | 1587 | -4948 | ** | 1895 | 1280 | 1676 | -3401 |
| 1896 | 1075 | 1773 | -2656 | ** | 1897 | 459 | 1888 | -378 | ** | 1898 | 870 | 1835 | 1917 | ** | 1899 | 1418 | 1587 | 64 | ** | 1900 | 578 | 1882 | -1520 | ** | 1901 | 1327 | 1655 | -3457 |
| 1902 | 423 | 1895 | 3466 | ** | 1903 | 677 | 1874 | -3030 | ** | 1904 | 645 | 1879 | 700 | ** | 1905 | 1512 | 1512 | -6831 | ** | 1906 | 1445 | 1575 | 4916 | ** | 1907 | 477 | 1897 | -2963 |
| 1908 | 1184 | 1742 | -2680 | ** | 1909 | 569 | 1892 | -11868 | ** | 1910 | 1294 | 1687 | 1113 | ** | 1911 | 493 | 1900 | -2126 | ** | 1912 | 1100 | 1782 | -1240 | ** | 1913 | 861 | 1853 | 639 |
| 1914 | 280 | 1912 | 5416 | ** | 1915 | 380 | 1910 | -7125 | ** | 1916 | 1290 | 1697 | 18423 | ** | 1917 | 404 | 1911 | 1918 | ** | 1918 | 1500 | 1544 | -4552 | ** | 1919 | 479 | 1909 | -109 |
| 1920 | 1056 | 1807 | -559 | ** | 1921 | 1241 | 1730 | -4560 | ** | 1922 | 973 | 1835 | 4256 | ** | 1923 | 891 | 1857 | -297 | ** | 1924 | 281 | 1922 | -465 | ** | 1925 | 480 | 1915 | 250 |
| 1926 | 1325 | 1689 | 1882 | ** | 1927 | 594 | 1908 | -4913 | ** | 1928 | 464 | 1919 | -1151 | ** | 1929 | 1473 | 1585 | 647 | ** | 1930 | 1382 | 1657 | 1639 | ** | 1931 | 481 | 1921 | -111 |
| 1932 | 615 | 1911 | 162 | ** | 1933 | 355 | 1929 | 6273 | ** | 1934 | 1401 | 1649 | 1854 | ** | 1935 | 748 | 1897 | 5110 | ** | 1936 | 224 | 1935 | -943 | ** | 1937 | 482 | 1927 | -1198 |
| 1938 | 644 | 1914 | -4256 | ** | 1939 | 626 | 1917 | 22430 | ** | 1940 | 1033 | 1837 | -2190 | ** | 1941 | 356 | 1937 | -1348 | ** | 1942 | 716 | 1909 | -5237 | ** | 1943 | 1237 | 1759 | 1275 |
| 1944 | 1110 | 1815 | -8991 | ** | 1945 | 757 | 1906 | 116 | ** | 1946 | 449 | 1938 | -5985 | ** | 1947 | 646 | 1923 | 1520 | ** | 1948 | 1422 | 1653 | 7867 | ** | 1949 | 225 | 1948 | -668 |
| 1950 | 853 | 1894 | -461 | ** | 1951 | 1414 | 1663 | 1160 | ** | 1952 | 1171 | 1800 | -9803 | ** | 1953 | 385 | 1948 | 160 | ** | 1954 | 1381 | 1690 | 323 | ** | 1955 | 740 | 1919 | 316 |
| 1956 | 648 | 1932 | 3456 | ** | 1957 | 1216 | 1786 | -6859 | ** | 1958 | 1301 | 1744 | -2773 | ** | 1959 | 1362 | 1709 | 3322 | ** | 1960 | 1406 | 1681 | 343 | ** | 1961 | 1245 | 1777 | 1123 |
| 1962 | 226 | 1961 | -729 | ** | 1963 | 699 | 1933 | -1989 | ** | 1964 | 1512 | 1603 | -3611 | ** | 1965 | 650 | 1941 | 1504 | ** | 1966 | 1484 | 1630 | 1792 | ** | 1967 | 970 | 1885 | -4062 |
| 1968 | 1244 | 1786 | 792 | ** | 1969 | 1541 | 1584 | 8084 | ** | 1970 | 817 | 1922 | 5039 | ** | 1971 | 952 | 1894 | -4781 | ** | 1972 | 1370 | 1721 | 687 | ** | 1973 | 1526 | 1604 | -2123 |
| 1974 | 1403 | 1702 | 189 | ** | 1975 | 227 | 1974 | -1132 | ** | 1976 | 634 | 1954 | 3408 | ** | 1977 | 1131 | 1845 | 4617 | ** | 1978 | 739 | 1943 | 1126 | ** | 1979 | 881 | 1919 | 4339 |
| 1980 | 1336 | 1752 | -64 | ** | 1981 | 1345 | 1748 | -476 | ** | 1982 | 361 | 1978 | -1065 | ** | 1983 | 1055 | 1878 | -440 | ** | 1984 | 1232 | 1811 | -1995 | ** | 1985 | 1241 | 1808 | -8 |
| 1986 | 827 | 1937 | 20 | ** | 1987 | 1371 | 1740 | -8 | ** | 1988 | 1010 | 1897 | -1 | ** | 1989 | 1295 | 1786 | 1638 | ** | 1990 | 1028 | 1894 | 64 | ** | 1991 | 390 | 1986 | -6985 |
| 1992 | 1080 | 1880 | -512 | ** | 1993 | 1001 | 1905 | -1969 | ** | 1994 | 597 | 1976 | -2565 | ** | 1995 | 909 | 1930 | 3446 | ** | 1996 | 722 | 1964 | -456 | ** | 1997 | 437 | 1990 | 1520 |
| 1998 | 715 | 1967 | 54 | ** | 1999 | 598 | 1981 | -334 | ** | 2000 | 1092 | 1885 | 187 | ** | 2001 | 1339 | 1777 | 349 | ** | 2002 | 229 | 2001 | 9018 | ** | 2003 | 620 | 1983 | -3060 |
| 2004 | 599 | 1986 | 1009 | ** | 2005 | 610 | 1986 | -4131 | ** | 2006 | 1559 | 1624 | -2287 | ** | 2007 | 289 | 2005 | 6649 | ** | 2008 | 1479 | 1694 | -4111 | ** | 2009 | 600 | 1991 | 1458 |
| 2010 | 1068 | 1904 | 3304 | ** | 2011 | 733 | 1978 | 1142 | ** | 2012 | 932 | 1943 | -647 | ** | 2013 | 829 | 1965 | -13717 | ** | 2014 | 601 | 1996 | 1007 | ** | 2015 | 365 | 2011 | -1081 |
| 2016 | 1515 | 1677 | -1512 | ** | 2017 | 963 | 1941 | 1945 | ** | 2018 | 873 | 1962 | 2087 | ** | 2019 | 602 | 2001 | -350 | ** | 2020 | 1582 | 1624 | 8 | ** | 2021 | 1072 | 1915 | -5862 |
| 2022 | 479 | 2013 | -3788 | ** | 2023 | 721 | 1992 | -2682 | ** | 2024 | 672 | 1999 | -623 | ** | 2025 | 654 | 2002 | 15353 | ** | 2026 | 1513 | 1693 | 1322 | ** | 2027 | 333 | 2024 | -2178 |
| 2028 | 1542 | 1672 | -2584 | ** | 2029 | 730 | 1997 | -584 | ** | 2030 | 1091 | 1919 | -4130 | ** | 2031 | 462 | 2023 | -1504 | ** | 2032 | 1388 | 1788 | -2176 | ** | 2033 | 1513 | 1703 | 1313 |
| 2034 | 498 | 2024 | -512 | ** | 2035 | 888 | 1977 | 3970 | ** | 2036 | 1129 | 1913 | -2530 | ** | 2037 | 863 | 1984 | -2898 | ** | 2038 | 292 | 2036 | -872 | ** | 2039 | 421 | 2033 | -3079 |
| 2040 | 515 | 2029 | 2736 | ** | 2041 | 482 | 2032 | -2015 | ** | 2042 | 676 | 2017 | 3399 | ** | 2043 | 1165 | 1908 | 1070 | ** | 2044 | 865 | 1991 | 1288 | ** | 2045 | 1282 | 1861 | 2976 |
| 2046 | 763 | 2010 | -2611 | ** | 2047 | 711 | 2018 | -17440 | ** | 2048 | 1389 | 1808 | 1611 | ** | 2049 | 1059 | 1950 | 270 | ** | 2050 | 764 | 2014 | 2512 | ** | 2051 | 867 | 1998 | 296 |
| 2052 | 445 | 2045 | 2358 | ** | 2053 | 1036 | 1961 | 1540 | ** | 2054 | 233 | 2053 | 1250 | ** | 2055 | 547 | 2042 | -9036 | ** | 2056 | 1515 | 1734 | 10837 | ** | 2057 | 1383 | 1823 | 1539 |
| 2058 | 869 | 2005 | -5922 | ** | 2059 | 294 | 2057 | 2 | ** | 2060 | 842 | 2012 | 2584 | ** | 2061 | 424 | 2055 | 11582 | ** | 2062 | 662 | 2039 | -519 | ** | 2063 | 1598 | 1675 | -17020 |
| 2064 | 467 | 2056 | -1035 | ** | 2065 | 1378 | 1836 | -2583 | ** | 2066 | 588 | 2050 | 1024 | ** | 2067 | 234 | 2066 | -1637 | ** | 2068 | 400 | 2063 | -5615 | ** | 2069 | 1167 | 1937 | 6093 |
| 2070 | 1615 | 1670 | -3375 | ** | 2071 | 1237 | 1912 | 2330 | ** | 2072 | 1614 | 1674 | 3680 | ** | 2073 | 1562 | 1721 | -1672 | ** | 2074 | 770 | 2038 | 9352 | ** | 2075 | 1597 | 1694 | 5318 |
| 2076 | 952 | 2007 | -775 | ** | 2077 | 1510 | 1767 | -5130 | ** | 2078 | 771 | 2042 | 6453 | ** | 2079 | 578 | 2064 | 343 | ** | 2080 | 537 | 2068 | -585 | ** | 2081 | 1420 | 1832 | 7073 |
| 2082 | 1158 | 1955 | 181 | ** | 2083 | 743 | 2051 | -5271 | ** | 2084 | 1299 | 1900 | -5195 | ** | 2085 | 1521 | 1770 | -12636 | ** | 2086 | 1377 | 1863 | -224 | ** | 2087 | 1296 | 1905 | -2458 |
| 2088 | 1468 | 1811 | -4491 | ** | 2089 | 1584 | 1726 | 1089 | ** | 2090 | 428 | 2084 | -2456 | ** | 2091 | 1138 | 1972 | -2549 | ** | 2092 | 1120 | 1979 | -2051 | ** | 2093 | 1568 | 1745 | 7300 |
| 2094 | 628 | 2075 | 1557 | ** | 2095 | 1537 | 1772 | -5426 | ** | 2096 | 1361 | 1884 | -3249 | ** | 2097 | 1223 | 1948 | 6714 | ** | 2098 | 1553 | 1764 | -5929 | ** | 2099 | 629 | 2080 | 6110 |
| 2100 | 1022 | 2016 | -2744 | ** | 2101 | 1494 | 1811 | -214 | ** | 2102 | 1546 | 1775 | 6497 | ** | 2103 | 913 | 2044 | -2954 | ** | 2104 | 1351 | 1899 | -1386 | ** | 2105 | 1624 | 1715 | 8126 |
| 2106 | 1664 | 1679 | -5767 | ** | 2107 | 237 | 2106 | -26 | ** | 2108 | 1090 | 2006 | -1504 | ** | 2109 | 542 | 2097 | -5732 | ** | 2110 | 700 | 2084 | 2296 | ** | 2111 | 1646 | 1704 | -2169 |
| 2112 | 431 | 2106 | -1079 | ** | 2113 | 890 | 2059 | -3482 | ** | 2114 | 1312 | 1930 | -2784 | ** | 2115 | 973 | 2044 | 2374 | ** | 2116 | 1482 | 1839 | -7991 | ** | 2117 | 475 | 2109 | -17291 |
| 2118 | 674 | 2095 | -2367 | ** | 2119 | 343 | 2116 | 656 | ** | 2120 | 622 | 2102 | 944 | ** | 2121 | 1025 | 2038 | 8064 | ** | 2122 | 1347 | 1923 | -6542 | ** | 2123 | 829 | 2080 | 78 |
| 2124 | 737 | 2094 | 487 | ** | 2125 | 888 | 2072 | -1195 | ** | 2126 | 1166 | 2002 | -9928 | ** | 2127 | 1023 | 2045 | -17909 | ** | 2128 | 704 | 2102 | 2280 | ** | 2129 | 574 | 2115 | 2590 |
| 2130 | 1452 | 1876 | -9784 | ** | 2131 | 805 | 2092 | -8722 | ** | 2132 | 825 | 2090 | -657 | ** | 2133 | 1395 | 1912 | -766 | ** | 2134 | 1071 | 2040 | -2807 | ** | 2135 | 1113 | 2029 | -9911 |
| 2136 | 966 | 2068 | 4328 | ** | 2137 | 658 | 2116 | -1855 | ** | 2138 | 962 | 2071 | 11033 | ** | 2139 | 1305 | 1963 | 647 | ** | 2140 | 814 | 2100 | -9144 | ** | 2141 | 1642 | 1753 | 3156 |
| 2142 | 1607 | 1784 | -6559 | ** | 2143 | 1187 | 2014 | -6740 | ** | 2144 | 638 | 2125 | 4787 | ** | 2145 | 516 | 2135 | 154 | ** | 2146 | 410 | 2141 | -2085 | ** | 2147 | 240 | 2146 | -1613 |
| 2148 | 690 | 2124 | -5832 | ** | 2149 | 639 | 2130 | -170 | ** | 2150 | 1399 | 1931 | 13310 | ** | 2151 | 700 | 2126 | -7425 | ** | 2152 | 1213 | 2015 | 11836 | ** | 2153 | 1235 | 2008 | -1810 |
| 2154 | 303 | 2152 | -5671 | ** | 2155 | 1619 | 1793 | -10041 | ** | 2156 | 347 | 2153 | -5084 | ** | 2157 | 565 | 2144 | -216 | ** | 2158 | 1506 | 1879 | -8343 | ** | 2159 | 1454 | 1912 | -1513 |
| 2160 | 1307 | 1987 | 2754 | ** | 2161 | 969 | 2094 | -512 | ** | 2162 | 693 | 2138 | 10899 | ** | 2163 | 1287 | 1999 | -8155 | ** | 2164 | 1576 | 1839 | 3249 | ** | 2165 | 619 | 2148 | -326 |
| 2166 | 1015 | 2089 | 952 | ** | 2167 | 1121 | 2062 | -5426 | ** | 2168 | 1301 | 1999 | 5732 | ** | 2169 | 1329 | 1988 | -3752 | ** | 2170 | 981 | 2101 | 558 | ** | 2171 | 439 | 2165 | -433 |
| 2172 | 977 | 2104 | -3249 | ** | 2173 | 1615 | 1822 | 4094 | ** | 2174 | 242 | 2173 | -181 | ** | 2175 | 1262 | 2023 | 6480 | ** | 2176 | 1574 | 1857 | -9241 | ** | 2177 | 1278 | 2019 | 9422 |
| 2178 | 1298 | 2012 | 2432 | ** | 2179 | 1592 | 1848 | 2459 | ** | 2180 | 1399 | 1968 | -3431 | ** | 2181 | 1024 | 2103 | 7190 | ** | 2182 | 504 | 2173 | -3213 | ** | 2183 | 1225 | 2046 | 3526 |
| 2184 | 1147 | 2073 | -1036 | ** | 2185 | 1475 | 1933 | 1513 | ** | 2186 | 1212 | 2054 | -2736 | ** | 2187 | 726 | 2160 | 27 | ** | 2188 | 243 | 2187 | 6562 | ** | 2189 | 658 | 2169 | -5852 |
| 2190 | 1014 | 2115 | -2619 | ** | 2191 | 486 | 2183 | 128 | ** | 2192 | 872 | 2145 | 8415 | ** | 2193 | 1372 | 1997 | -1764 | ** | 2194 | 659 | 2174 | 2181 | ** | 2195 | 506 | 2186 | -197 |
| 2196 | 541 | 2185 | 3490 | ** | 2197 | 307 | 2195 | 55 | ** | 2198 | 1294 | 2037 | 1555 | ** | 2199 | 1269 | 2048 | 3898 | ** | 2200 | 1272 | 2048 | -10240 | ** | 2201 | 244 | 2200 | -183 |
| 2202 | 1352 | 2017 | 1287 | ** | 2203 | 1031 | 2125 | 3511 | ** | 2204 | 614 | 2188 | 1448 | ** | 2205 | 730 | 2178 | 4373 | ** | 2206 | 1485 | 1954 | 27 | ** | 2207 | 1482 | 1957 | -2918 |
| 2208 | 508 | 2199 | -199 | ** | 2209 | 928 | 2153 | 1000 | ** | 2210 | 1241 | 2071 | 16568 | ** | 2211 | 1569 | 1908 | 11610 | ** | 2212 | 1395 | 2009 | 524 | ** | 2213 | 684 | 2191 | 10222 |
| 2214 | 732 | 2187 | -27 | ** | 2215 | 245 | 2214 | 5906 | ** | 2216 | 1541 | 1933 | -2962 | ** | 2217 | 419 | 2212 | 126 | ** | 2218 | 490 | 2210 | -5768 | ** | 2219 | 309 | 2217 | 13517 |
| 2220 | 1601 | 1898 | 407 | ** | 2221 | 1140 | 2116 | -1035 | ** | 2222 | 1074 | 2135 | 1449 | ** | 2223 | 446 | 2217 | -5282 | ** | 2224 | 1675 | 1847 | 1126 | ** | 2225 | 1435 | 2005 | 2625 |
| 2226 | 1718 | 1813 | 6147 | ** | 2227 | 470 | 2220 | 83 | ** | 2228 | 246 | 2227 | -1667 | ** | 2229 | 1549 | 1945 | -785 | ** | 2230 | 1307 | 2069 | -8952 | ** | 2231 | 355 | 2228 | -2836 |
| 2232 | 1632 | 1892 | -1088 | ** | 2233 | 644 | 2215 | 4978 | ** | 2234 | 1758 | 1788 | 1520 | ** | 2235 | 1544 | 1956 | -125 | ** | 2236 | 1755 | 1794 | 2197 | ** | 2237 | 728 | 2211 | -22230 |
| 2238 | 448 | 2232 | -1288 | ** | 2239 | 531 | 2229 | 1639 | ** | 2240 | 311 | 2238 | -1503 | ** | 2241 | 1215 | 2115 | -729 | ** | 2242 | 690 | 2220 | -512 | ** | 2243 | 1158 | 2135 | -3780 |
| 2244 | 1234 | 2112 | -7048 | ** | 2245 | 1660 | 1889 | 1756 | ** | 2246 | 1551 | 1966 | -911 | ** | 2247 | 622 | 2231 | -11016 | ** | 2248 | 1058 | 2167 | -1583 | ** | 2249 | 581 | 2236 | 1052 |
| 2250 | 357 | 2247 | 2484 | ** | 2251 | 849 | 2210 | -1798 | ** | 2252 | 495 | 2244 | -3151 | ** | 2253 | 450 | 2247 | 54 | ** | 2254 | 1034 | 2179 | -5579 | ** | 2255 | 1544 | 1982 | -3977 |
| 2256 | 857 | 2214 | -5921 | ** | 2257 | 1230 | 2128 | 441 | ** | 2258 | 1579 | 1964 | 629 | ** | 2259 | 1383 | 2071 | 7181 | ** | 2260 | 1756 | 1830 | -216 | ** | 2261 | 313 | 2259 | -18695 |
| 2262 | 313 | 2260 | 8431 | ** | 2263 | 980 | 2200 | 13447 | ** | 2264 | 752 | 2236 | -3520 | ** | 2265 | 705 | 2242 | 512 | ** | 2266 | 933 | 2212 | -1269 | ** | 2267 | 1327 | 2104 | -5484 |
| 2268 | 452 | 2262 | -1304 | ** | 2269 | 249 | 2268 | 28 | ** | 2270 | 1754 | 1847 | 1513 | ** | 2271 | 1708 | 1888 | 2527 | ** | 2272 | 1339 | 2105 | -1196 | ** | 2273 | 754 | 2245 | 3228 |
| 2274 | 1510 | 2026 | 2248 | ** | 2275 | 1625 | 1956 | 434 | ** | 2276 | 772 | 2246 | -2008 | ** | 2277 | 1092 | 2190 | -1755 | ** | 2278 | 586 | 2265 | -729 | ** | 2279 | 1055 | 2201 | -4337 |
| 2280 | 1703 | 1905 | 3448 | ** | 2281 | 641 | 2264 | 3576 | ** | 2282 | 756 | 2254 | 5488 | ** | 2283 | 250 | 2282 | 4419 | ** | 2284 | 478 | 2277 | -981 | ** | 2285 | 654 | 2267 | 4698 |
| 2286 | 572 | 2274 | -6416 | ** | 2287 | 1002 | 2221 | 2034 | ** | 2288 | 1646 | 1959 | 657 | ** | 2289 | 710 | 2266 | -4527 | ** | 2290 | 1427 | 2088 | 2045 | ** | 2291 | 838 | 2253 | -578 |
| 2292 | 1332 | 2131 | 629 | ** | 2293 | 929 | 2241 | -853 | ** | 2294 | 690 | 2273 | -1233 | ** | 2295 | 1665 | 1955 | 8875 | ** | 2296 | 540 | 2286 | -3320 | ** | 2297 | 1065 | 2218 | -1784 |
| 2298 | 574 | 2286 | -1288 | ** | 2299 | 1119 | 2207 | 4997 | ** | 2300 | 1579 | 2019 | -398 | ** | 2301 | 1135 | 2205 | -23599 | ** | 2302 | 1189 | 2191 | -532 | ** | 2303 | 399 | 2299 | 14029 |
| 2304 | 575 | 2292 | 1 | ** | 2305 | 1286 | 2163 | -3778 | ** | 2306 | 1187 | 2196 | -3123 | ** | 2307 | 1032 | 2236 | 3419 | ** | 2308 | 1704 | 1944 | 64 | ** | 2309 | 1218 | 2190 | -1603 |
Proof Analytic useful table and revealing Special Murgu Quadruplets.
Fermat Murgu Quadruplets Table
Proof Analytic useful table , can light about all aspects on.
This Table (Fermat Murgu Quadruplets) lead to any separations in :
Ordinary Quadruplets Including
Z 3 - X3 - Y 3 = W or -W W ≠ T 3 and not 1 or -1
Special Murgu Quadruplets Generators
Z 3 - X3 - Y 3 = 1 or -1
Special Murgu Quadruplets
W3(Z 3 - X3 - Y 3 ) = W3
Murgu Perfect Quadruplets
Z 3 - X3 - Y 3 = W3
Down is a Example Table for a part of Special Murgu Quadruplets Generators.
| — Z — | — X — | — Y — | Fmin X,Y,Z |
| 9 | 8 | 6 | 1 |
| 12 | 10 | 9 | -1 |
| 103 | 94 | 64 | -1 |
| 144 | 71 | 138 | 1 |
| 150 | 73 | 144 | -1 |
| 172 | 138 | 135 | 1 |
| 249 | 235 | 135 | -1 |
| 495 | 438 | 334 | -1 |
| 505 | 426 | 372 | 1 |
| 577 | 486 | 426 | 1 |
| 729 | 242 | 720 | 1 |
| 738 | 244 | 729 | -1 |
| 904 | 566 | 823 | 1 |
| 1010 | 791 | 812 | 1 |
Special Murgu Quadruplets Generators Table.
Maybe more Important then all are Murgu
Perfect Quadruplets which are not coming via Generators.
As next Math Beauty and will rival Pythagorean Triples
even will execed in Beauty.
Z 3 - X3 - Y 3 = W3
| — Z — | — X — | — Y — | — W — |
| 60 | 22 | 59 | -3 |
| 54 | 48 | 36 | 6 |
| 72 | 54 | 60 | -6 |
| 84 | 70 | 63 | -7 |
| 102 | 45 | 99 | -6 |
| 132 | 123 | 76 | 5 |
| 186 | 59 | 184 | -3 |
| 300 | 146 | 288 | -2 |
| 318 | 262 | 242 | 6 |
| 372 | 118 | 368 | -6 |
| 378 | 340 | 245 | 3 |
| 414 | 334 | 323 | -3 |
| 432 | 213 | 414 | 3 |
| 450 | 219 | 432 | -3 |
| 498 | 470 | 270 | -2 |
USA Murgu Perfect Quadruplets, maybe The Beauty of all Quadruplets as are not backed by generators.
We extracted a part of them and can't say are or not infinity.
Proof Analytic useful table and even Fermat Murgu Quadruplets can say a lot about Fermat's Last Theorem Proof.
Maybe even Mathematicians will write books for.
I want to make a single Remark, which can be Important for future.
Long Time ago when I followed a Proof presentation by biggest Mathematicians,
a big part of it was 5 as proof of modularity.
Mathematic Remark
Into Proof Analytic useful table , yet, and repeat yet, I didn't meet 5 , and
neither 3. Then for Mathematics Curiosity we get attention to:
Z3 - X3 - Y3 # 5
Z3 - X3 - Y3 # 3
Z3 - X3 - Y3 # 4
Z3 - X3 - Y3 # 23
for every {Z,X,Y} Integers.
Nobody can even verrify it to Infinity, but is a issue as Fermat's Last Theorem Proof
, in found atacked this asspect .
Murgu Quadruplets.
As Intuited , Special Murgu Quadruplets are generated by Fermat Murgu Quadruplets for
W=1 or -1.
Are Infinity and included in Quadruplets Group how as values are different entities.
| — Z — | — X — | — Y — | U |
| 9 U3 | 8U3 | 6U3 | U3 |
| 12U3 | 10U3 | 9U3 | -U3 |
| 103U3 | 94U3 | 64U3 | -U3 |
| 144U3 | 71U3 | 138U3 | U3 |
| 150U3 | 73U3 | 144U3 | -U3 |
| 172U3 | 138U3 | 135U3 | U3 |
| 249U3 | 235U3 | 135U3 | -U3 |
| 495U3 | 438U3 | 334U3 | -U3 |
| 505U3 | 426U3 | 372U3 | U3 |
| 577U3 | 486U3 | 426U3 | U3 |
| 729U3 | 242U3 | 720U3 | U3 |
| 738U3 | 244U3 | 729U3 | -U3 |
Special Murgu Quadruplets Table.
Special Murgu Quadruplets Equations
Normal MQ.1. and MQ.2. will lead to a general forms wearing any beauty but issues also.
Z3 - X3 - Y3 = W3 MQ.3.
Z3 - X3 - Y3 = -W3 MQ.4.
Those Equations and Murgu Perfect Quadruplets are coming with nice issues which I will leave for Mathematicians to debate,
But will want to remark one which is an instinctual beauty:
Mathematic Relativity via
Relativity Of Solutions
and also
Z3 - X3 = Y3 + W3 MQ.5.
Z3 + W3 = X3 + Y3 MQ.6.
We know neither left or right side can be T3 but only an pure T.
That can remind of Murgu Pythagorean Triples Conditional, but for power 3.
Rudimentary Murgu Quadruplets, Special Murgu Quadruplets and
Murgu Perfect Quadruplets Induce
Modularity Theory Ambiguity related to:
Fermat's Last Theorem.
Murgu Perfect Quadruplets maybe are with all rights to speak about Modularity.
But Mathematicians can decide if implay those in an Analytic for.
Thanks for coffe, and Good Morning Future! for all.
For turn Back to Intro Click here
Fermat's Last Theorem End
as SOLVED but
Fermat's Last Theorem is back for Beauty Of Science
Already get a part of it which are connected to solutions, but also
Independent States
Murgu The Lost Fundamental Operator applied to Fermat's Last Theorem
Brought, (to hope last) final Definition for IRRATIONALs
Murgu Irrationals Integrators.
A Irrational is a Numeric Entity which can evolve to a Rational Or Integer, only and only,
via Multiple Multiplay with Itself which mean also leading to Its Form.
(ir) = n √X where X Integer Or Rational and n Multiplay Number
The fact we will meet it in calculus as unknown do not exclude definition. Every Time can make The Connection.
First need to make a return To EME1E1 :
(X/Z)n + (Y/Z)n - 1 = 0 EME1E1
write as (A+B=1), and to observe B is a Complement to Unity for A , and A for B. This bring a
Util Tool in Math as writing
A = 1 - B and B = 1 - A
An = (1 - B)n
Bn = (1 - A)n
Are Fermat's Last Theorem Equations , but see now A And B as complements to Unity one to another
, and in calculus may need it.
Now as we know Fermat's Last Theorem Equations solutions are Irrationals or Combinations
with Integers Or Rationals where at last one is Irrational, we can use it as Irrational Integrators
using an absolute Truth Equation
U + V = W into Integers
writing it as
(n√U)n + (n√V)n = (n√W)n
Murgu 1St Equation Of Irrational Integrators
At first luck seem absurd, but via this eqution and leraning to work with God Equations Of Balance
and in any cases with Murgu The Lost Fundamental Operator we can put irrational in Connections which may be
util in any situations.
27 + 125 = 152 a valid equality
An example which for power n=3 give a
subtle senzation as integers may "equal" a Irrational but this equality for power n=3 is
(3√27)3 + (3√125)3 = (3√152)3
(3√152)3 is a Integer and above formula a relational
one.
Is not to much there but is about to Integrate Irrationals
Maybe a good thing to remark (3√152) equl with around of
5.3367.. as top see or image Murgu dispersion formula acting.
More convincing about Integrate Irrationals can be , in a form like above
(sorry for naming ans renaming, but any time this help not only to memorize
but to "view inside")
Murgu 2nd Equations Of Irrational Integrators
An = (1 - B)n
Bn = (1 - A)n
Those are coming from
(n√U)n/(n√W)n + (n√V)n/(n√W)n = 1
Murgu 1St Equation Of Irrational Integrators
Repeat , (a+b=c) must be True as
256 + 6561 = 6817
Can be used for all Powers including power 2 if not qualify as Pythagorean Triple.
Also we can use extraction , to say (a) 256 extraction from infinity anothers equalities a=c-b .
256 + 6563 = 6819 as example.
Murgu Irrationals Integrator expose Irrational relations between and with Rationals and
Integers. But may be enough to define all.
We can write a Book about , coming with examples, but here
To Hope we Get Essence.
Irrationl Field True Definition.
Fermat Equations INTEGRATED relational IRRATIONAL FIELD
Fermat Equations - IRRATIONAL FIELD - ANALYTIC IMPLEMENTATION.
Gratitude to - AMERICA 2015 TWO FUNDAMENTALS - now we can define analytic IRRATIONAL FIELD.
To understood it need to understood AMERICA EARTH PROUD DAY FUNDAMENTALS presented in first maybe 10 pages in
"InfinityDivergentConjecture.pdf".
For it we will define a Irrational Number by its new point of view coming from above:
An irrational number is a number that cannot evolve into an integer or rational number except only by multiple multiplications with itself.
Then , that lead us to Special Irrationals :
(n√ n)
for n ∈ [2,∞)
and also to Orinary Irrationals :
(n√ k)
for n ∈ [2,∞) and k Rationals or Integers ∈ (0, ∞) but k ≠ h*n ; with h integer.
For n on negative axle appear a simple aspect which will born anothers kind of irrationals.
But also very important for analytic are subunitary Irrationals which deffine for an subunitary Irrational its Complementary Relative to Unity (1 - g) where g is a subunitary Irrational.
But it can be extended to all Irrationals as (1 - k + l) where k is an irrational and l its integer part. All of it born
Ion Murgu - Euler - Murgu Equations 1=1 .
which also Certify Fermat's Last Theorem for n=2 to ∞ .
We defined all Irrational Field Analytic , but knowing Fermat's Last Theorem now is Fundamental in Science and Mathematics - we know solutions for Fermat Equations are Irrationals for n ∈ [2, ∞) - we can say:
Fermat Equations Integrated Relational Irrational Field
Fermat Equations are
Xn + Yn = Zn
to associate to those equations a linear Equations into Integers
A + B + = C (ex: 9 + 12 = 21 ) a identities
Now if consider this Identities a Fermat Equations, then X = n√ A Y = n√ B Z = n√ C and function of case , one, two or all can be Irrationals.
This will connect all Irrationals into Relationals Identities but also Irrationals - Integers and Irrationals - Rationals. This isn't a Big Thing , but can help any time any Logical Analytic.
To name this example:
Banal Vision for Power 2 Balance.
| (√ 3 -1)(√ 3 +1)=2 | ... ... .. | (√ 3 -√ 2)(√ 3 +√ 2)= 1 |
| (√ 5 -1)(√ 5 +1)=4 | ... ... .. | (√ 5 -√ 4)(√ 5 +√ 4)= 1 |
| (√ 7 -1)(√ 7 +1)=6 | ... ... | (√ 7 -√ 6)(√ 7 +√ 6)= 1 |
| (√ 9 -1)(√ 9 +1)=8 | ... ... | (√ 9 -√ 8)(√ 9 +√ 8)= 1 |
| ... ... | ||
| (√(2n+1) -1)(√ (2n+1) +1)=2n | ... ... | (√ (2n+1) -√ 2n)(√(2n+1) +√2n)= 1 |
For turn Back to Intro Click here